Официальное опубликование правовых актов
ОФИЦИАЛЬНОЕ ОПУБЛИКОВАНИЕ
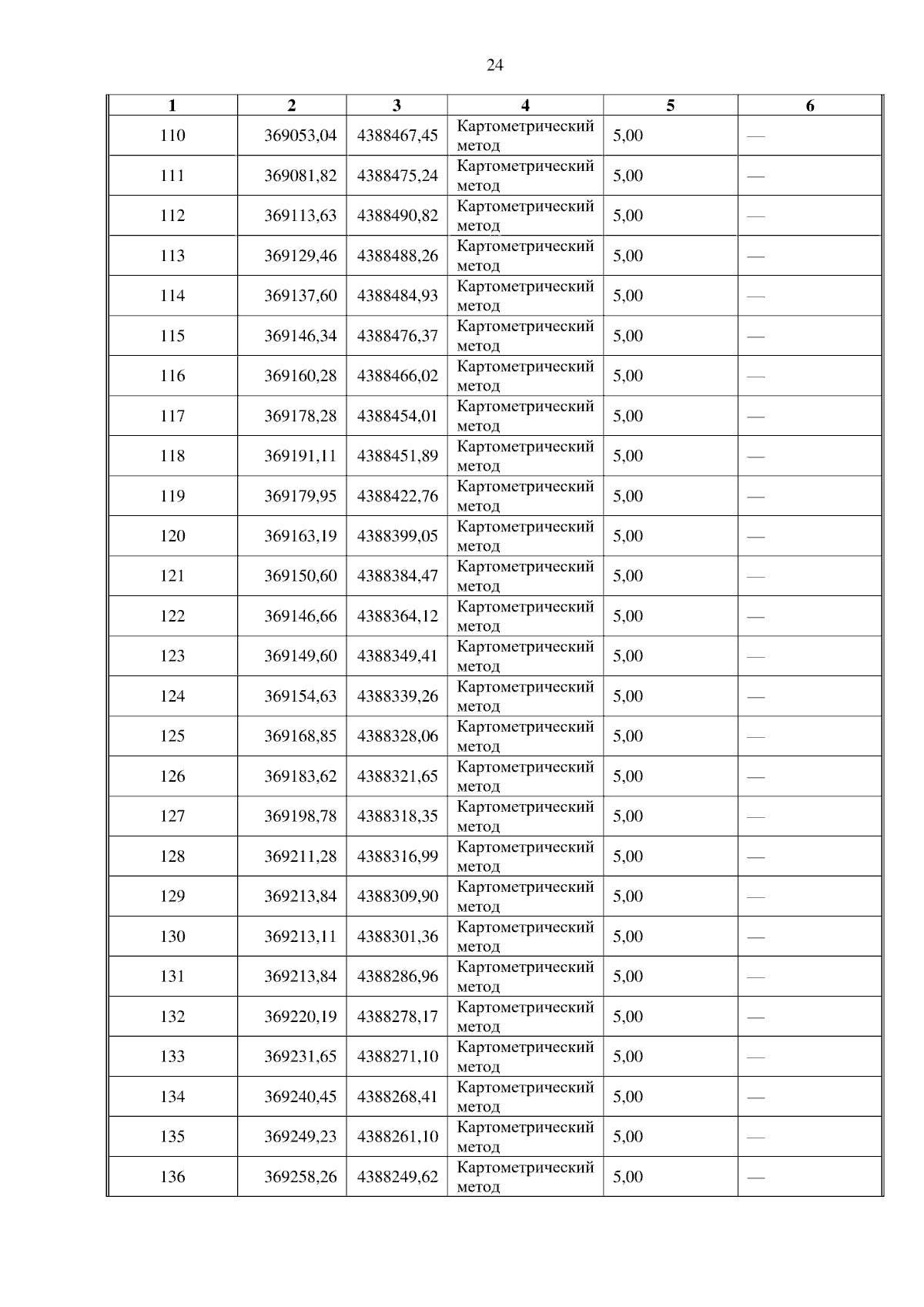
Приказ Департамента градостроительного развития Томской области от 21.10.2025 № 98
"О внесении изменений в Генеральный план и Правила землепользования и застройки муниципального образования "Турунтаевское сельское поселение Томского муниципального района Томской области"
(Зарегистрирован 23.10.2025 № 1210-91/2025)
Номер опубликования: 7001202510240003
Дата опубликования: 24.10.2025
Страница №24 из 732:
Увеличить