Официальное опубликование правовых актов
ОФИЦИАЛЬНОЕ ОПУБЛИКОВАНИЕ
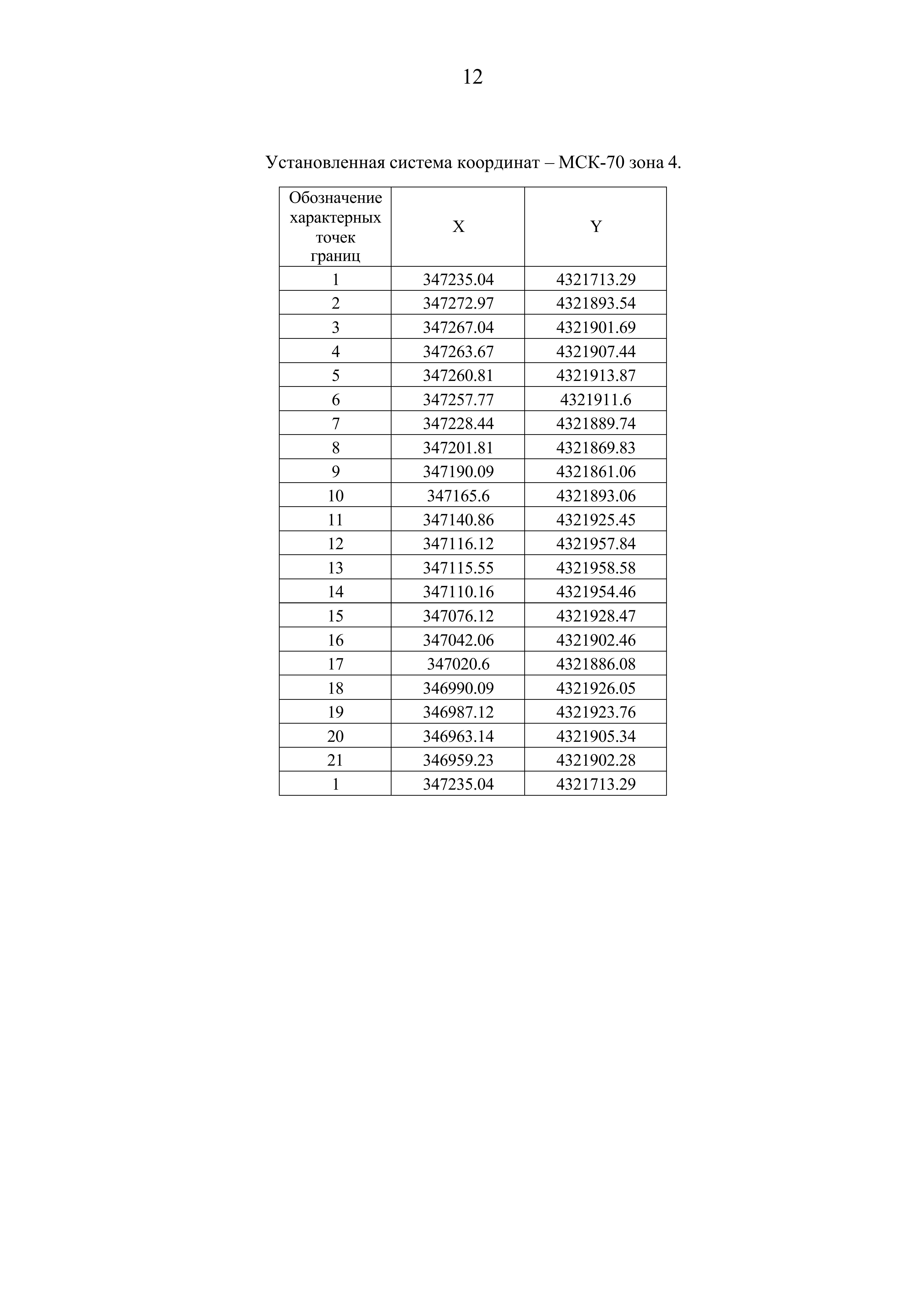
Приказ Департамента градостроительного развития Томской области от 22.10.2025 № 100
"Об утверждении проекта межевания территории СНТ "Зеленый Бор"
(Зарегистрирован 24.10.2025 № 1216-91/2025)
Номер опубликования: 7001202510270006
Дата опубликования: 27.10.2025
Страница №12 из 12: