Официальное опубликование правовых актов
ОФИЦИАЛЬНОЕ ОПУБЛИКОВАНИЕ
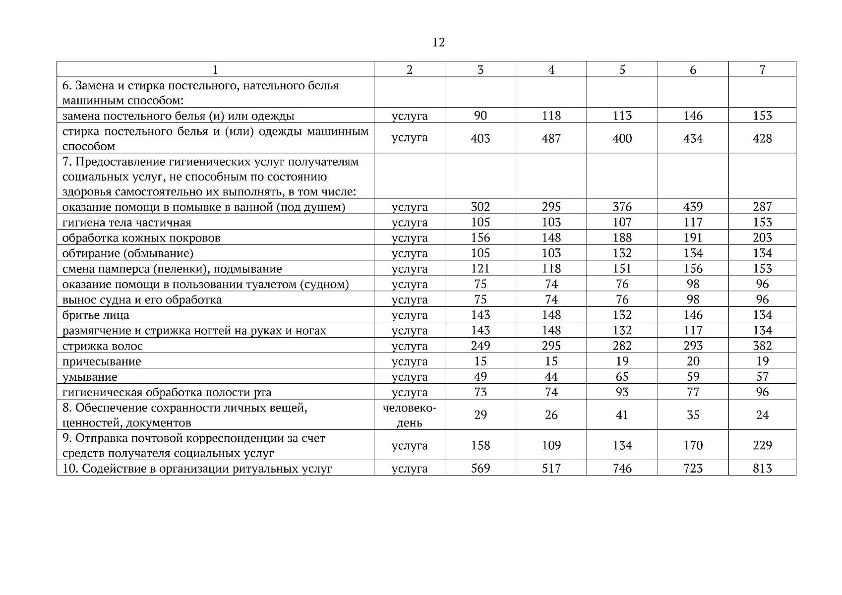
Приказ Департамента социальной защиты населения Томской области от 01.11.2025 № 33
"Об утверждении тарифов на социальные услуги, предоставляемые поставщиками социальных услуг совершеннолетним гражданам в Томской области, на 2026 год"
(Зарегистрирован 01.11.2025 № 1257-59/2025)
Номер опубликования: 7001202511050002
Дата опубликования: 05.11.2025
Страница №12 из 22:
Увеличить