Официальное опубликование правовых актов
ОФИЦИАЛЬНОЕ ОПУБЛИКОВАНИЕ
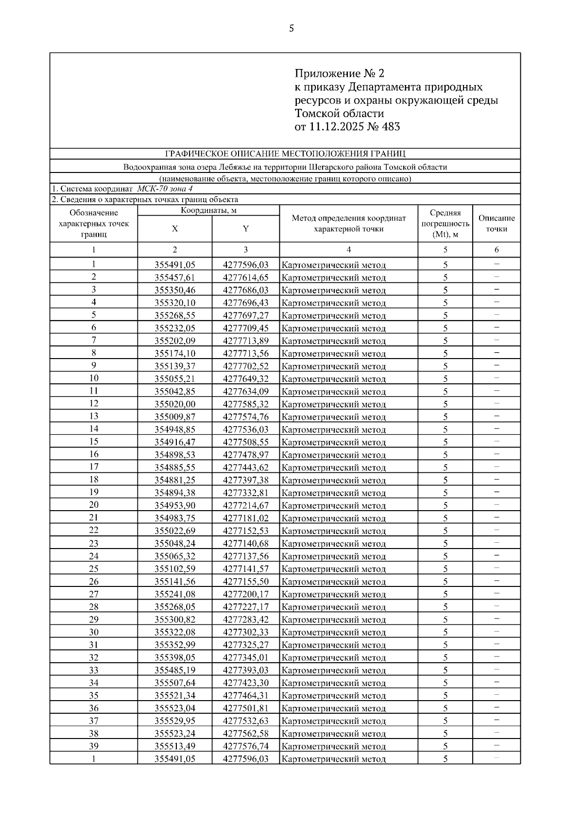
Приказ Департамента природных ресурсов и охраны окружающей среды Томской области от 11.12.2025 № 483
"Об установлении местоположения береговой линии (границы водного объекта), границ водоохранной зоны и прибрежной защитной полосы озера Лебяжье на территории Шегарского района Томской области"
(Зарегистрирован 12.12.2025 № 1619-63/2025)
Номер опубликования: 7001202512160008
Дата опубликования: 16.12.2025
Страница №5 из 10:
Увеличить