Официальное опубликование правовых актов
ОФИЦИАЛЬНОЕ ОПУБЛИКОВАНИЕ
Приказ Департамента ЖКХ и государственного жилищного надзора Томской области от 25.12.2025 № 88
"О внесении изменения в приказ Департамента ЖКХ и государственного жилищного надзора Томской области от 16.06.2022 № 40"
(Зарегистрирован 26.12.2025 № 2035-71/2025)
Номер опубликования: 7001202512290014
Дата опубликования: 29.12.2025
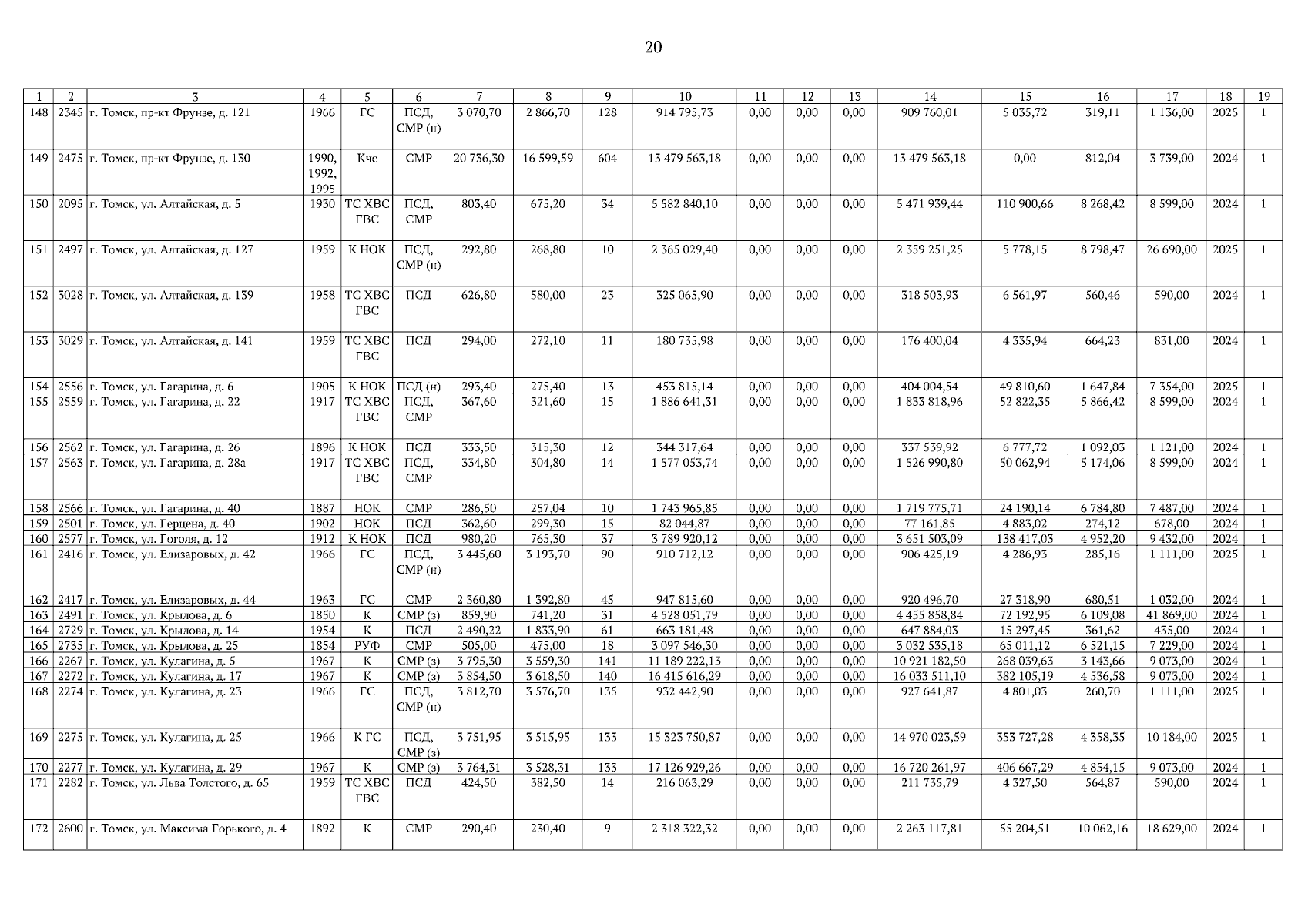
Страница №20 из 165:
Увеличить