Официальное опубликование правовых актов
ОФИЦИАЛЬНОЕ ОПУБЛИКОВАНИЕ
Приказ Департамента ЖКХ и государственного жилищного надзора Томской области от 25.12.2025 № 89
"О внесении изменения в приказ Департамента ЖКХ и государственного жилищного надзора Томской области от 10.12.2024 № 58"
(Зарегистрирован 26.12.2025 № 2044-71/2025)
Номер опубликования: 7001202512290016
Дата опубликования: 29.12.2025
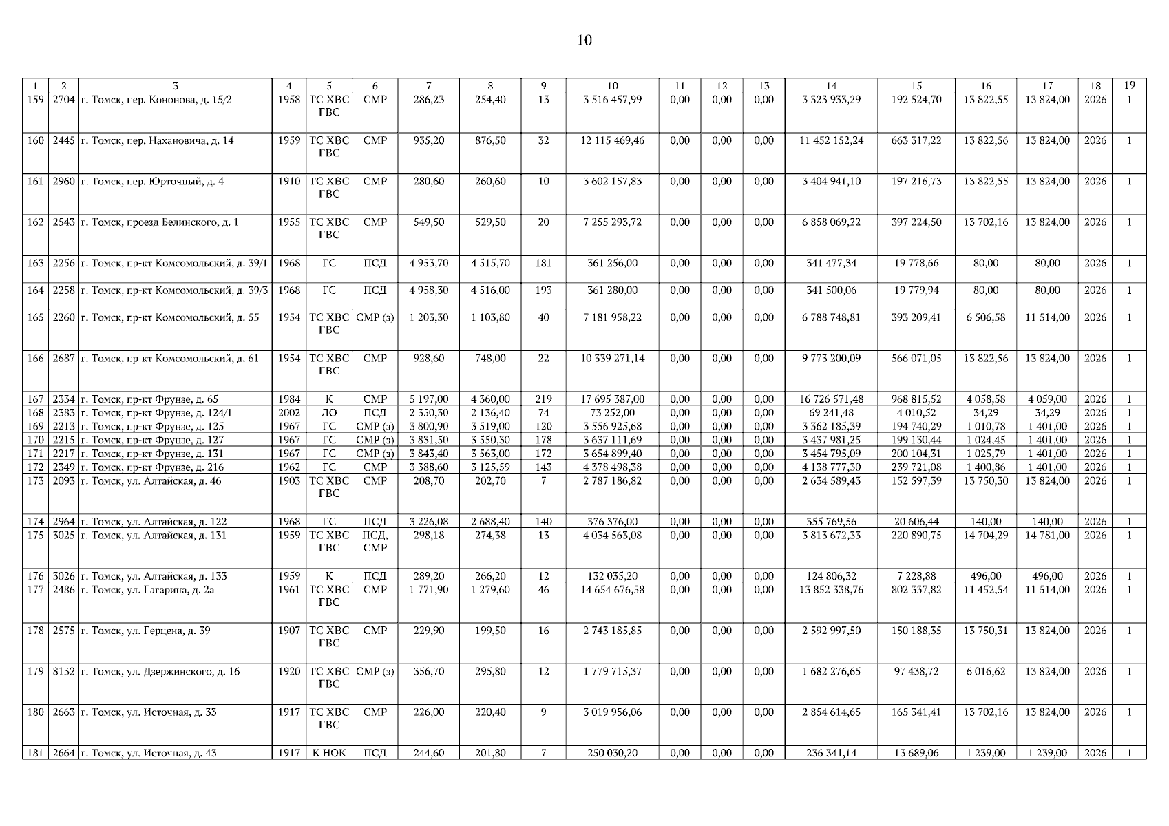
Страница №10 из 96:
Увеличить