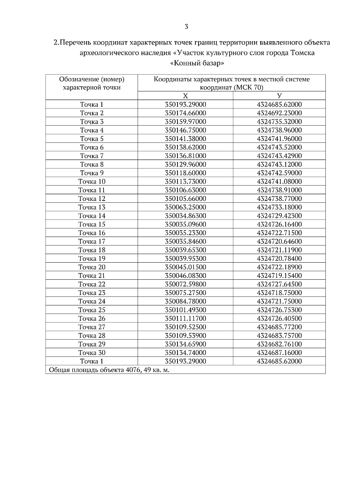
Приказ Комитета по охране объектов культурного наследия Томской области от 26.01.2026 № 0015/01-07
"Об утверждении границ и режима использования территории выявленного объекта археологического наследия "Участок культурного слоя города Томска "Конный базар"
(Зарегистрирован 26.01.2026 № 92-48/2026)
"Об утверждении границ и режима использования территории выявленного объекта археологического наследия "Участок культурного слоя города Томска "Конный базар"
(Зарегистрирован 26.01.2026 № 92-48/2026)
Номер опубликования: 7001202601270003
Дата опубликования:
27.01.2026
