Официальное опубликование правовых актов
ОФИЦИАЛЬНОЕ ОПУБЛИКОВАНИЕ
Приказ Департамента градостроительного развития Томской области от 01.04.2026 № 34
"Об утверждении проекта межевания территории, ограниченной пр. Кирова, ул. Красноармейская, ул. Карташова, ул. Дзержинского в городе Томске"
(Зарегистрирован 01.04.2026 № 353-91/2026)
Номер опубликования: 7001202604020012
Дата опубликования: 02.04.2026
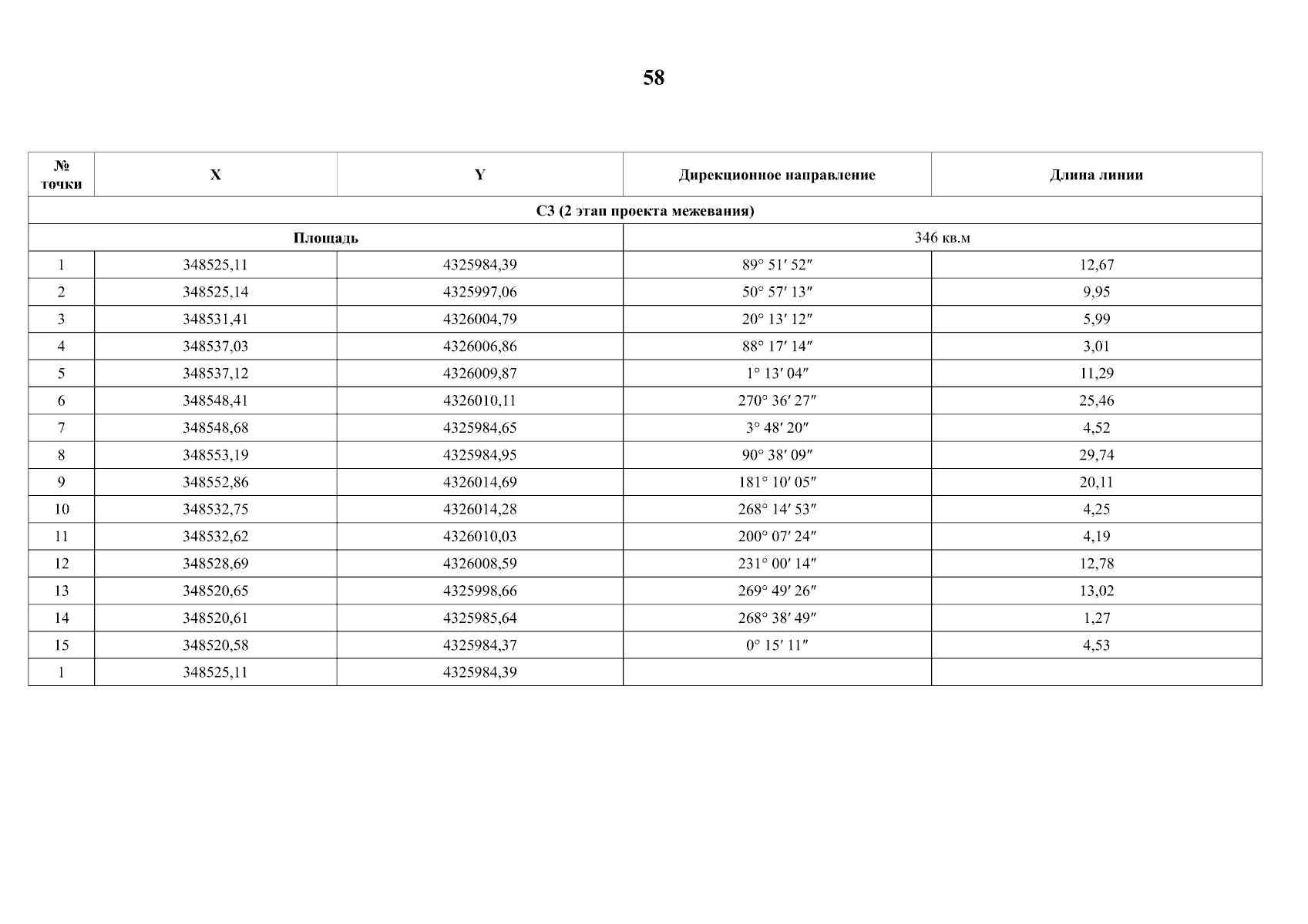
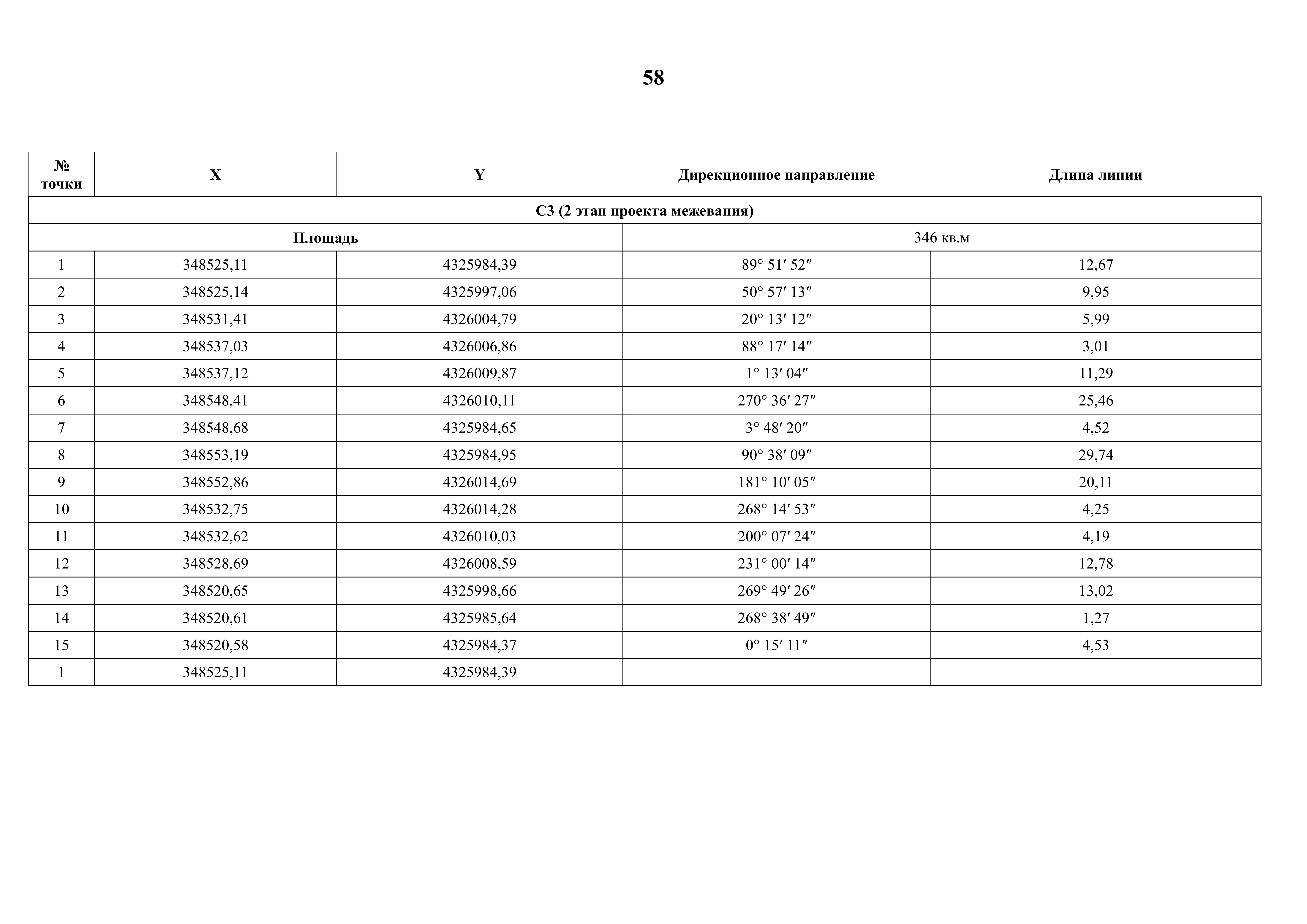
Страница №58 из 58: