Официальное опубликование правовых актов
ОФИЦИАЛЬНОЕ ОПУБЛИКОВАНИЕ
Приказ Департамента градостроительного развития Томской области от 06.04.2026 № 35
"Об утверждении изменений в документацию по планировке территории (проект планировки территории и проект межевания территории) по объекту "Строительство автомобильной дороги Малое транспортное кольцо г. Томска км 0 –км 5"
(Зарегистрирован 06.04.2026 № 363-91/2026)
Номер опубликования: 7001202604070001
Дата опубликования: 07.04.2026
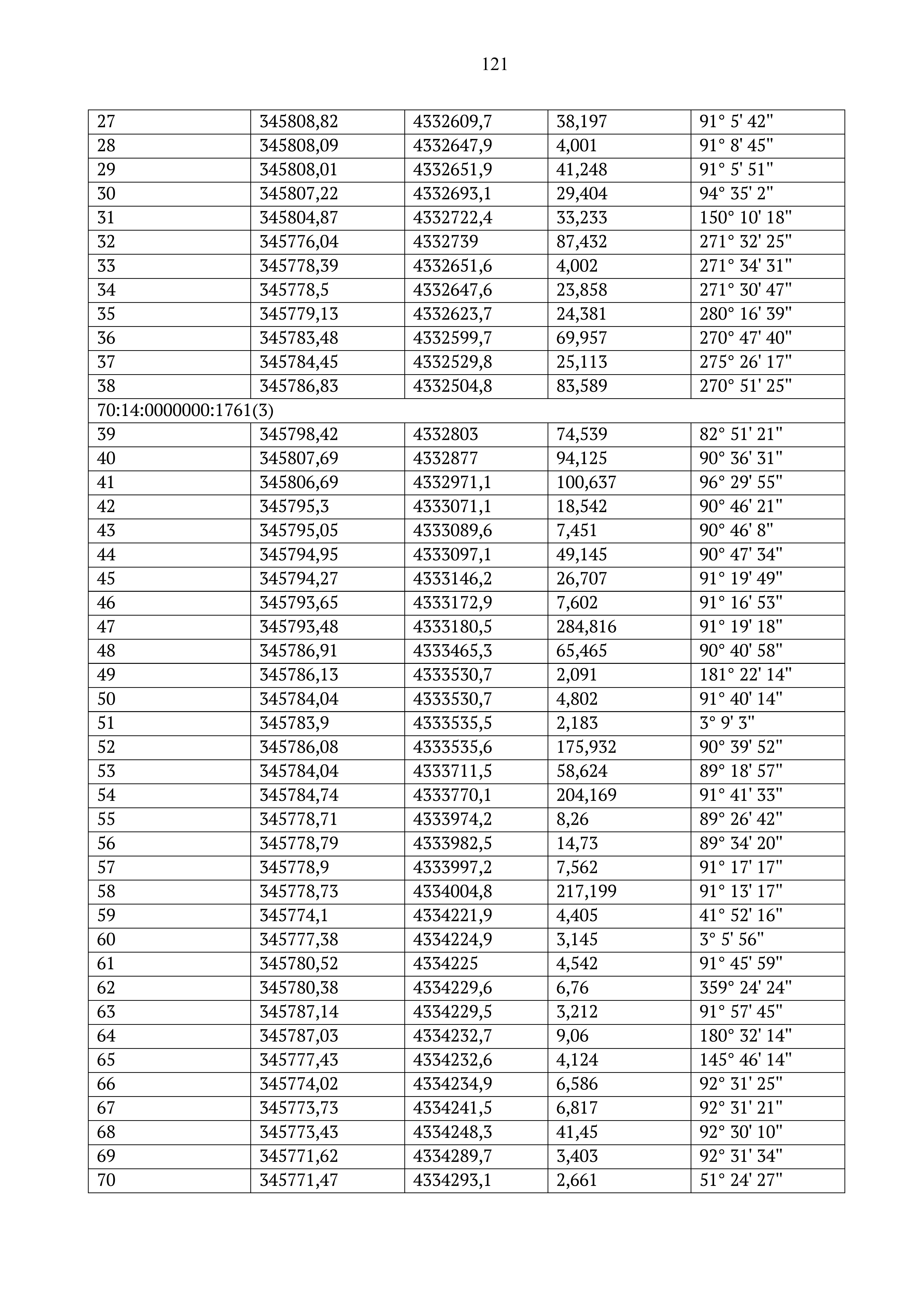
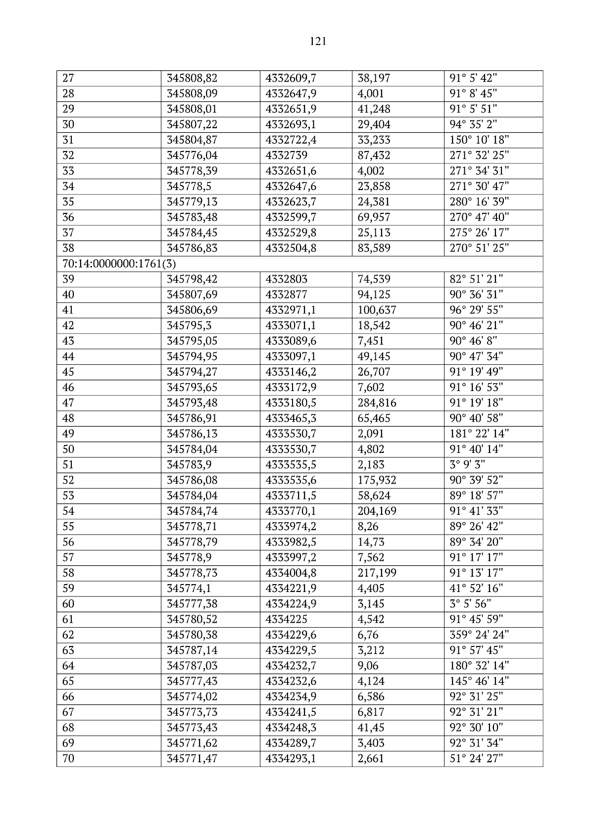
Страница №121 из 131: