Официальное опубликование правовых актов
ОФИЦИАЛЬНОЕ ОПУБЛИКОВАНИЕ
Приказ Департамента градостроительного развития Томской области от 07.04.2026 № 36
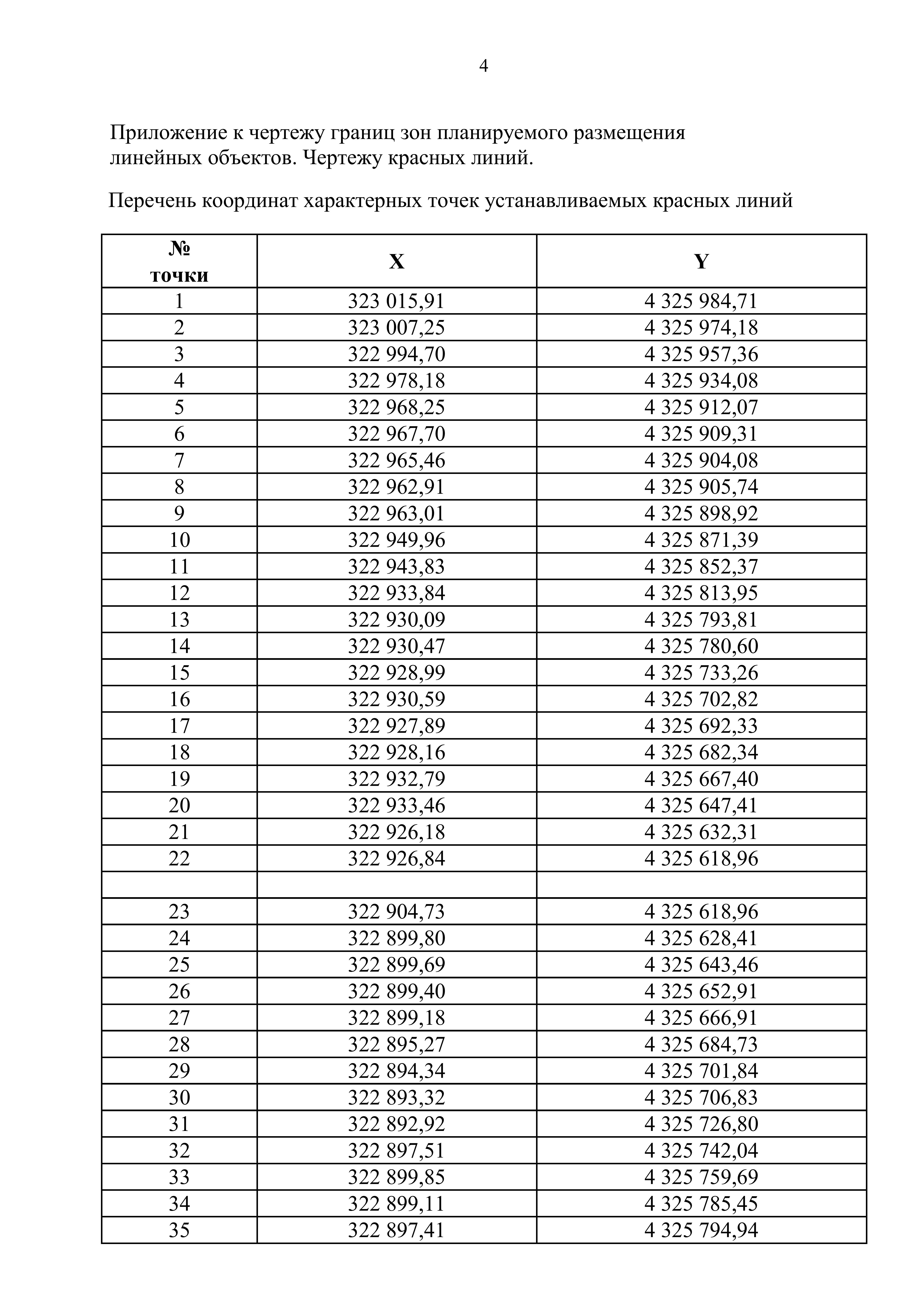
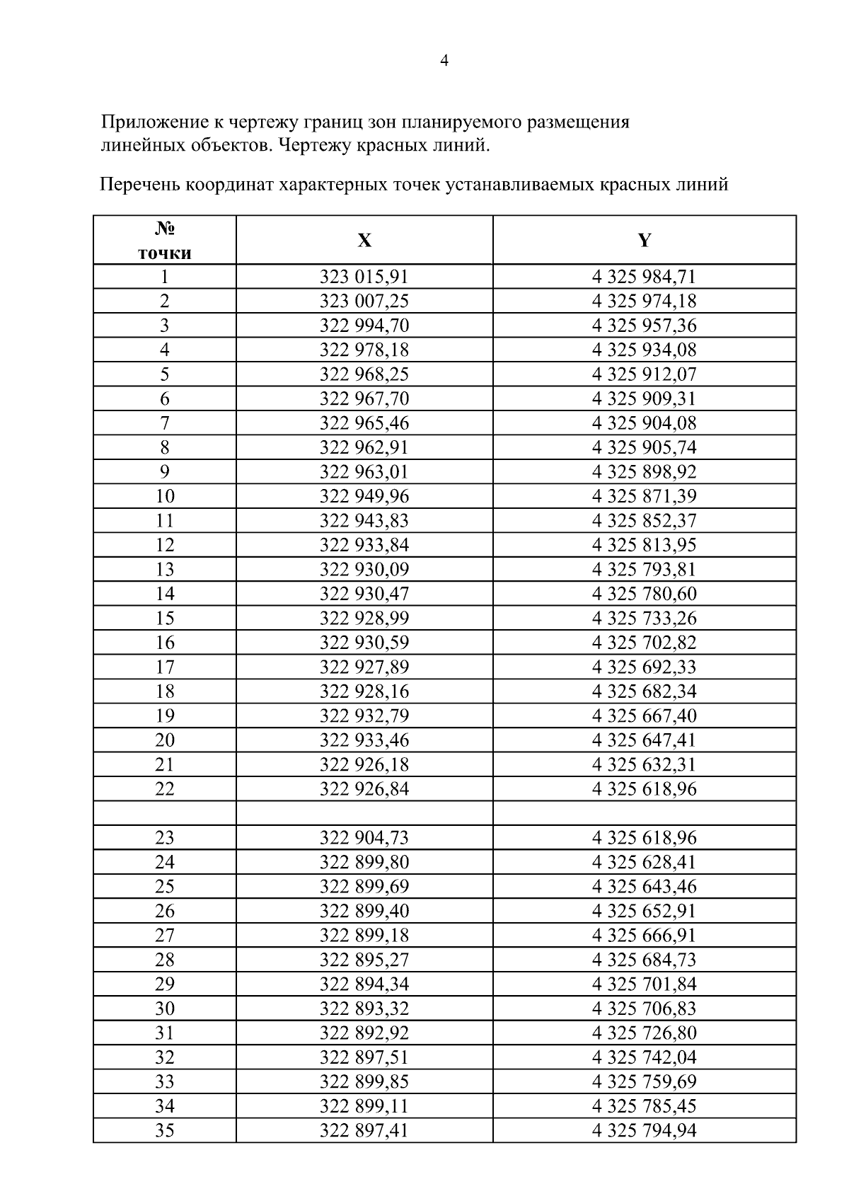
"Об утверждении документации по планировке территории для размещения объекта регионального значения: "Строительство мостового перехода через р. Тугояковка на км 26 автомобильной дороги Томск – Аникино – Ярское с подъездом к д.о. "Синий Утес" и базе ТГАСУ в Томском муниципальном районе Томской области"
(Зарегистрирован 07.04.2026 № 367-91/2026)
Номер опубликования: 7001202604080003
Дата опубликования: 08.04.2026
Страница №4 из 31: