Официальное опубликование правовых актов
ОФИЦИАЛЬНОЕ ОПУБЛИКОВАНИЕ
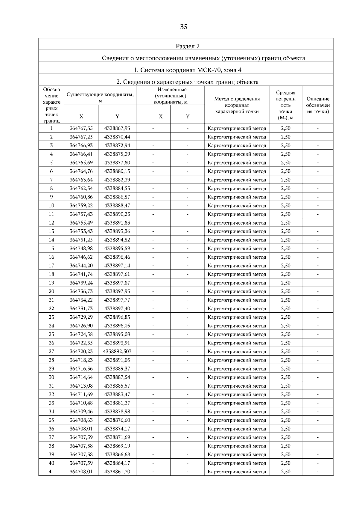
Приказ Департамента природных ресурсов и охраны окружающей среды Томской области от 09.04.2026 № 127
"Об установлении зон санитарной охраны на действующий водозабор подземных вод АО "Сибагро" Томская область, Томский район"
(Зарегистрирован 09.04.2026 № 380-63/2026)
Номер опубликования: 7001202604100001
Дата опубликования: 10.04.2026
Страница №35 из 47:
Увеличить