Официальное опубликование правовых актов
ОФИЦИАЛЬНОЕ ОПУБЛИКОВАНИЕ
Постановление Правительства Тульской области от 02.07.2015 № 306
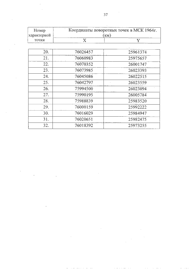
"Об утверждении границ территории и зон охраны объекта культурного наследия федерального значения "Усадьба писателя Хомякова А.С. "Богучарово", XVIII – XIX вв." по адресу: Тульская область, Ленинский район, сельское поселение Рождественское, поселок Октябрьский, режимов использования земель и градостроительных регламентов в границах данных зон"
Номер опубликования: 7100201507030002
Дата опубликования: 03.07.2015
Страница №39 из 50:
Увеличить