Официальное опубликование правовых актов
ОФИЦИАЛЬНОЕ ОПУБЛИКОВАНИЕ
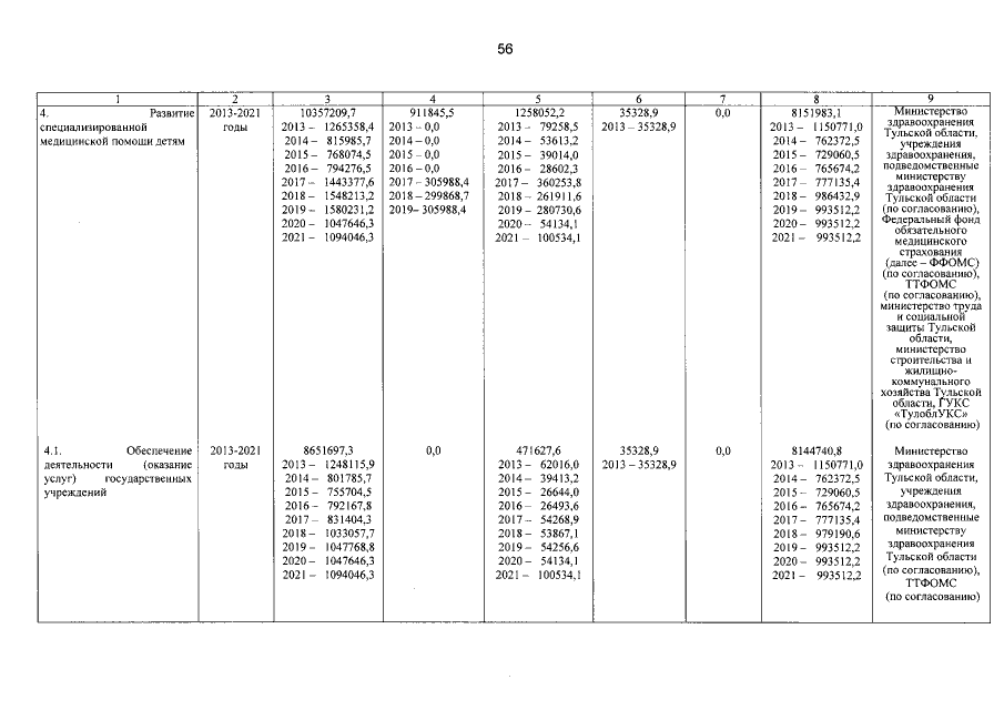
Постановление Правительства Тульской области от 06.08.2018 № 305
"О внесении изменений и дополнений в постановление правительства Тульской области от 20.08.2013 № 429 "Об утверждении государственной программы Тульской области "Развитие здравоохранения Тульской области"
Номер опубликования: 7100201808080011
Дата опубликования: 08.08.2018
Страница №57 из 261:
Увеличить