Официальное опубликование правовых актов
ОФИЦИАЛЬНОЕ ОПУБЛИКОВАНИЕ
Постановление Правительства Тульской области от 16.11.2018 № 482
"О внесении изменений в постановление правительства Тульской области от 19.03.2018 № 93"
Номер опубликования: 7100201811200006
Дата опубликования: 20.11.2018
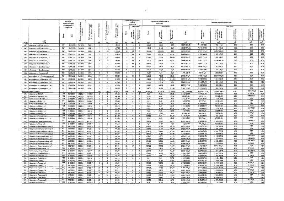
Страница №10 из 53:
Увеличить