Официальное опубликование правовых актов
ОФИЦИАЛЬНОЕ ОПУБЛИКОВАНИЕ
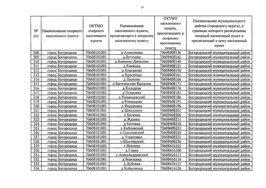
Постановление Правительства Тульской области от 01.03.2023 № 91
"Об утверждении Перечня опорных населенных пунктов, прилегающих населенных пунктов Тульской области"
Номер опубликования: 7100202303010003
Дата опубликования: 01.03.2023
Страница №18 из 97:
Увеличить