Официальное опубликование правовых актов
ОФИЦИАЛЬНОЕ ОПУБЛИКОВАНИЕ
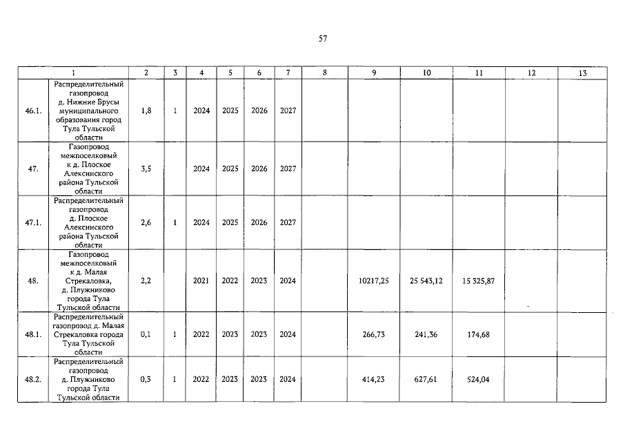
Постановление Правительства Тульской области от 31.05.2023 № 304
"О внесении изменений в постановление правительства Тульской области от 23.12.2021 № 852"
Номер опубликования: 7100202306020002
Дата опубликования: 02.06.2023
Страница №58 из 618:
Увеличить