Официальное опубликование правовых актов
ОФИЦИАЛЬНОЕ ОПУБЛИКОВАНИЕ
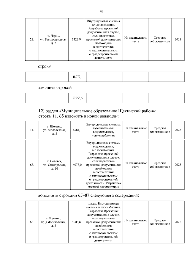
Постановление Правительства Тульской области от 07.07.2023 № 393
"О внесении изменений и дополнений в постановление правительства Тульской области от 25.02.2022 № 104"
Номер опубликования: 7100202307110003
Дата опубликования: 11.07.2023
Страница №42 из 47:
Увеличить