Официальное опубликование правовых актов
ОФИЦИАЛЬНОЕ ОПУБЛИКОВАНИЕ
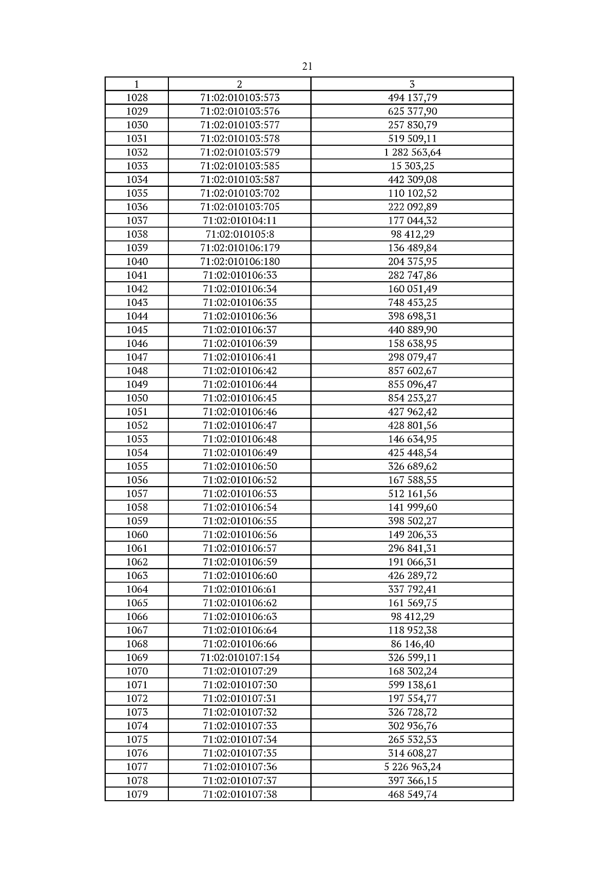
Постановление Правительства Тульской области от 30.10.2023 № 669
"Об утверждении результатов определения кадастровой стоимости зданий, помещений, сооружений, объектов незавершенного строительства, машино-мест, расположенных на территории Тульской области"
Номер опубликования: 7100202311030003
Дата опубликования: 03.11.2023
Страница №22 из 28596:
Увеличить