Официальное опубликование правовых актов
ОФИЦИАЛЬНОЕ ОПУБЛИКОВАНИЕ
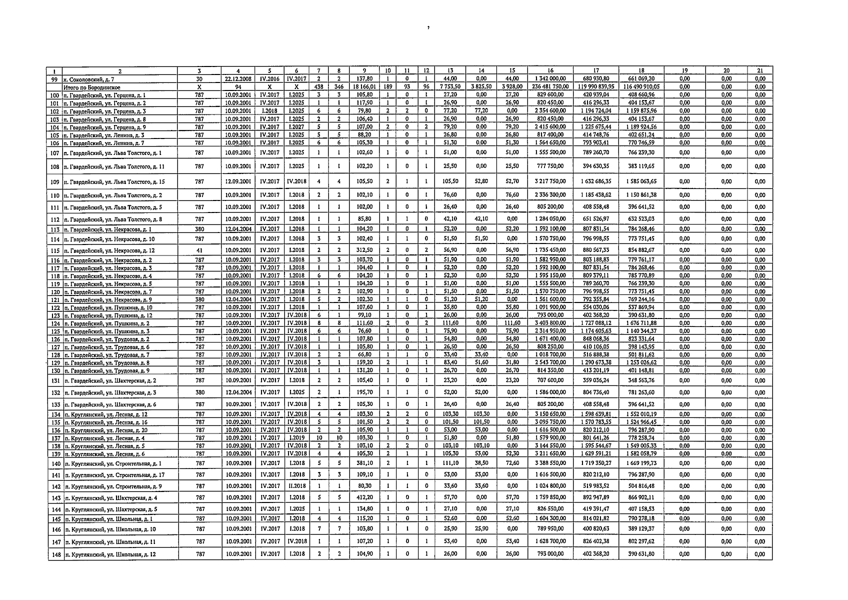
Постановление Правительства Тульской области от 24.07.2025 № 416
"О внесении изменений в постановление правительства Тульской области от 19.03.2018 № 94"
Номер опубликования: 7100202507250005
Дата опубликования: 25.07.2025
Страница №8 из 55:
Увеличить