Официальное опубликование правовых актов
ОФИЦИАЛЬНОЕ ОПУБЛИКОВАНИЕ
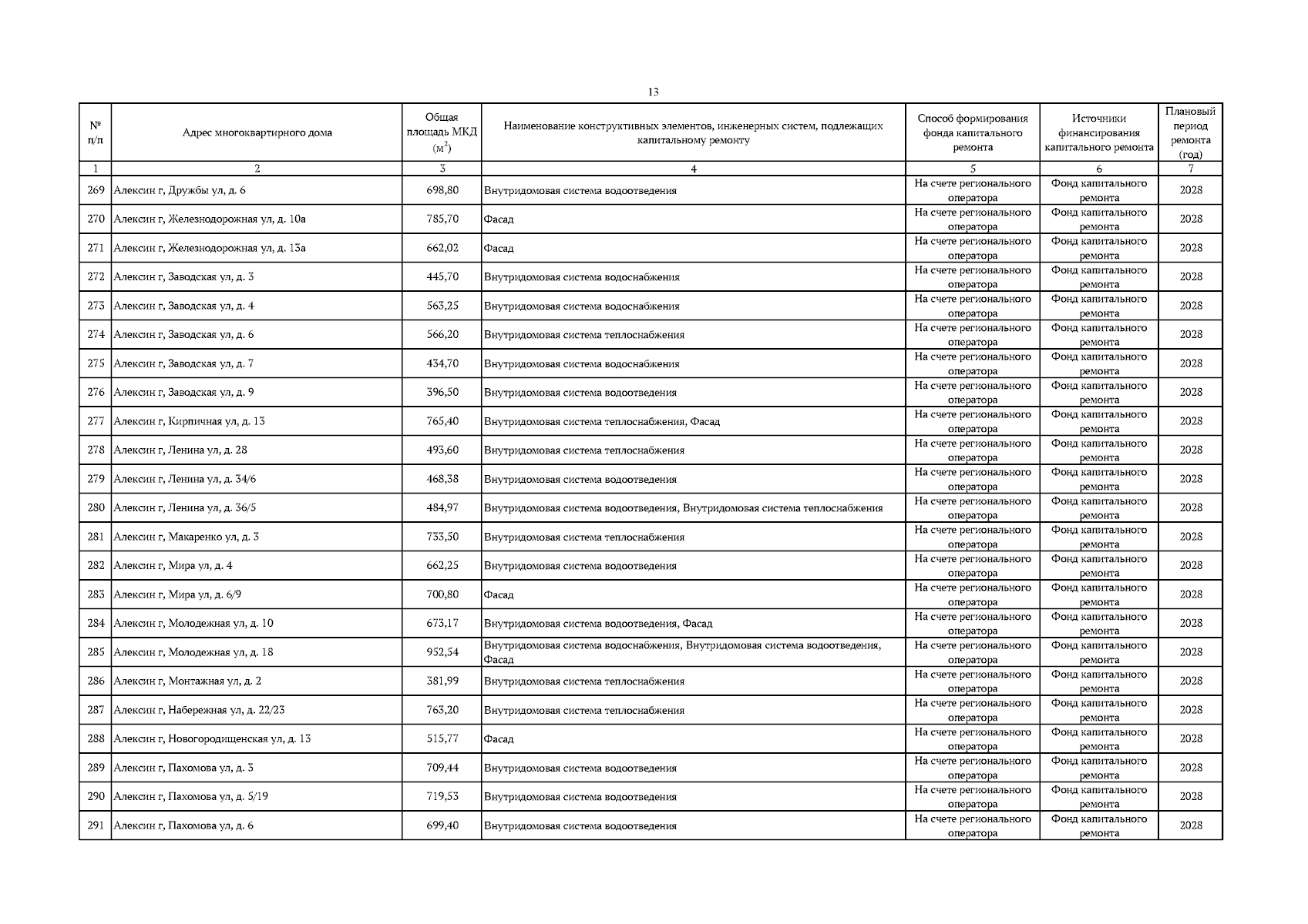
Постановление Правительства Тульской области от 10.09.2025 № 552
"О внесении изменения в постановление Правительства Тульской области от 28.02.2025 № 112"
Номер опубликования: 7100202509110007
Дата опубликования: 11.09.2025
Страница №14 из 233:
Увеличить