Официальное опубликование правовых актов
ОФИЦИАЛЬНОЕ ОПУБЛИКОВАНИЕ
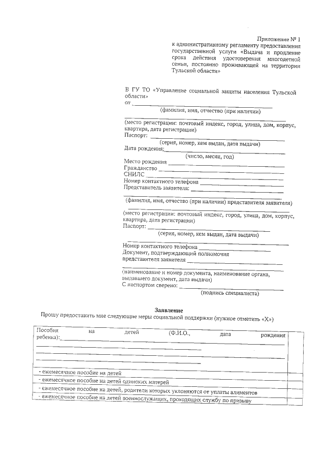
Приказ Министерства труда и социальной защиты Тульской области от 05.12.2019 № 714-осн
"Об утверждении административного регламента предоставления государственной услуги "Выдача и продление срока действия удостоверения многодетной семьи, постоянно проживающей на территории Тульской области"
Номер опубликования: 7101201912110006
Дата опубликования: 11.12.2019
Страница №29 из 44:
Увеличить