Официальное опубликование правовых актов
ОФИЦИАЛЬНОЕ ОПУБЛИКОВАНИЕ
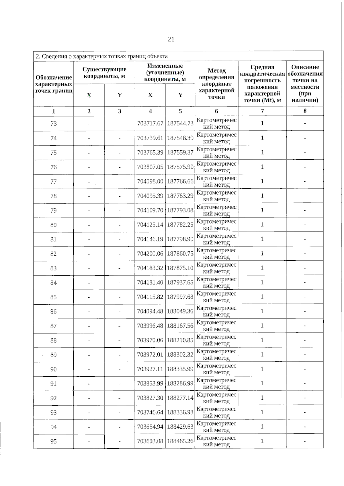
Приказ Комитета Тульской области по архитектуре и градостроительству от 30.09.2025 № 118
"О внесении изменений и дополнений в генеральный план муниципального образования Южно-Одоевское Одоевского района, утверждённый решением Собрания представителей муниципального образования Одоевский район 6-го созыва от 13.11.2019 №3-28"
(Зарегистрирован 30.09.2025 № 118)
Номер опубликования: 7101202510060005
Дата опубликования: 06.10.2025
Страница №47 из 53:
Увеличить