Официальное опубликование правовых актов
ОФИЦИАЛЬНОЕ ОПУБЛИКОВАНИЕ
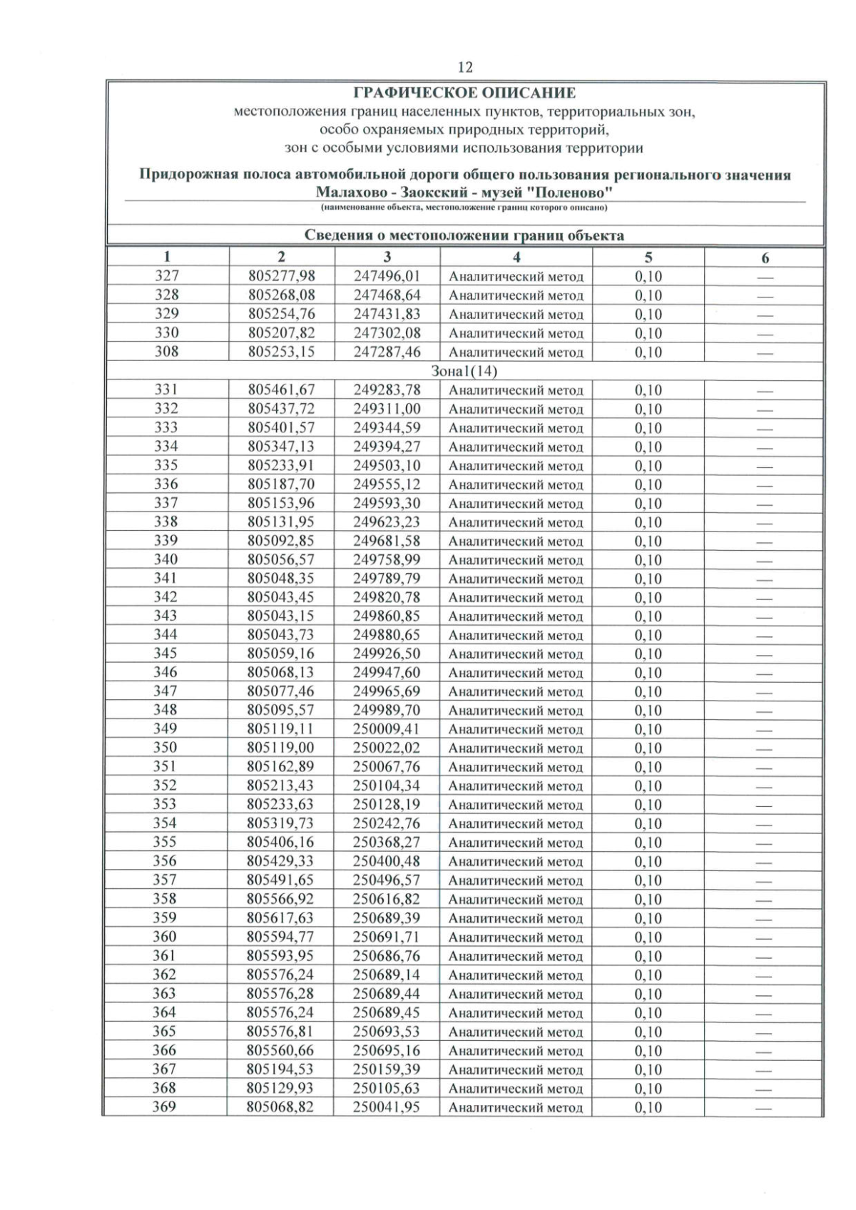
Приказ Министерства транспорта и дорожного хозяйства Тульской области от 31.10.2025 № 271
"Об установлении придорожных полос автомобильной дороги общего пользования регионального значения Малахово - Заокский - музей "Поленово"
(Зарегистрирован 31.10.2025 № 271)
Номер опубликования: 7101202511050001
Дата опубликования: 05.11.2025
Страница №14 из 45:
Увеличить