Официальное опубликование правовых актов
ОФИЦИАЛЬНОЕ ОПУБЛИКОВАНИЕ
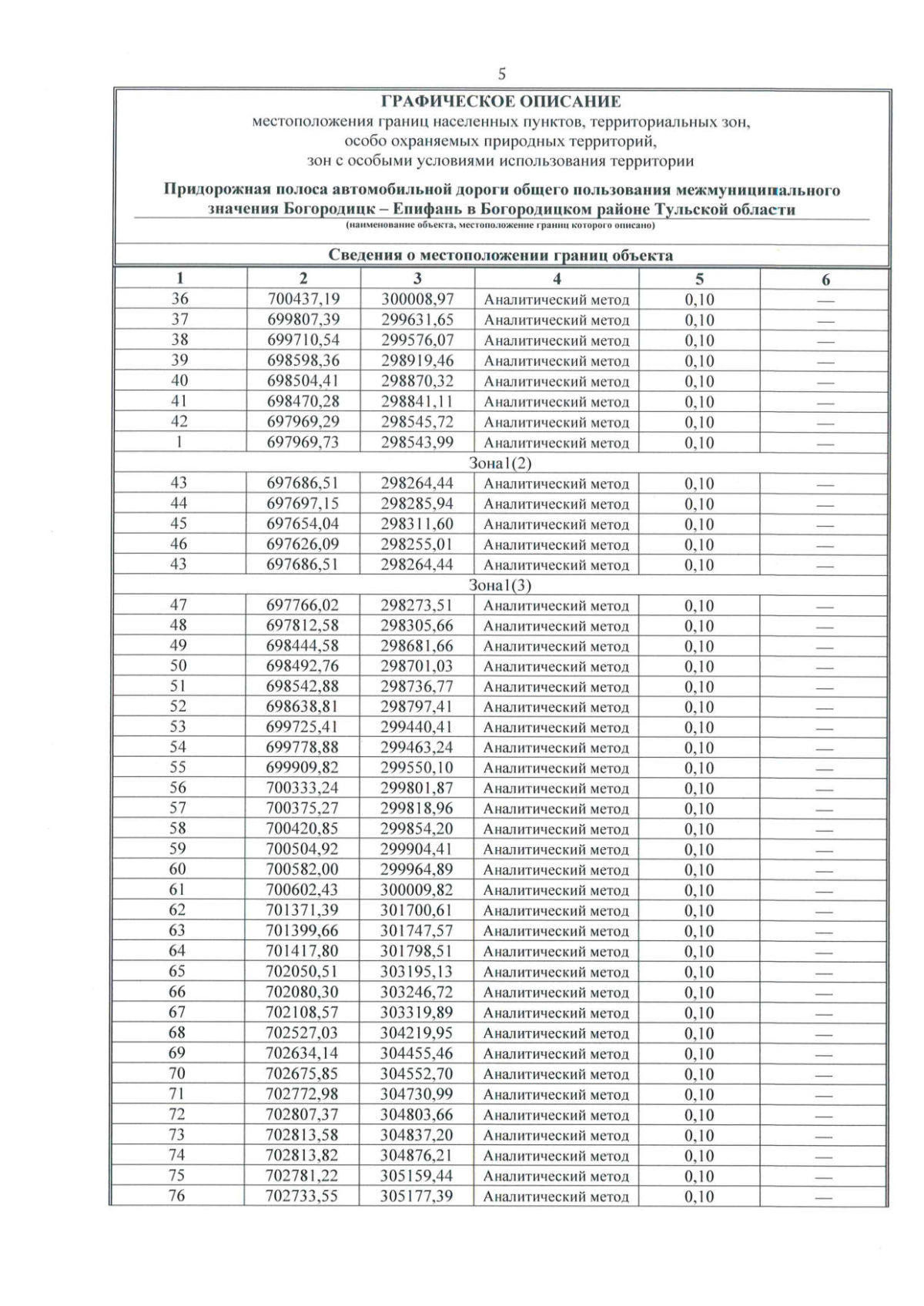
Приказ Министерства транспорта и дорожного хозяйства Тульской области от 28.10.2025 № 265
"Об установлении придорожных полос автомобильной дороги общего пользования межмуниципального значения Богородицк – Епифань, расположенной в границах Богородицкого района Тульской области"
(Зарегистрирован 28.10.2025 № 265)
Номер опубликования: 7101202511050004
Дата опубликования: 05.11.2025
Страница №7 из 28:
Увеличить