Официальное опубликование правовых актов
ОФИЦИАЛЬНОЕ ОПУБЛИКОВАНИЕ
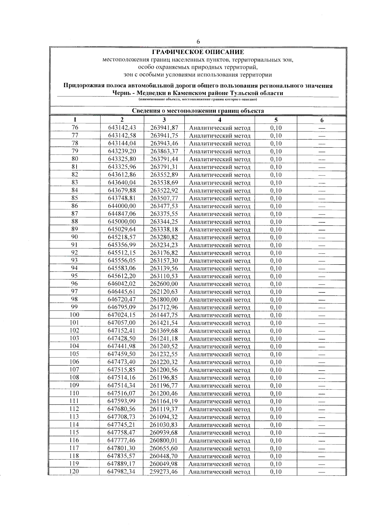
Приказ Министерства транспорта и дорожного хозяйства Тульской области от 11.11.2025 № 280
"Об установлении придорожных полос автомобильной дороги общего пользования регионального значения Чернь - Медведки, расположенной в границах Каменского района Тульской области"
(Зарегистрирован 11.11.2025 № 280)
Номер опубликования: 7101202511140012
Дата опубликования: 14.11.2025
Страница №8 из 69:
Увеличить