Официальное опубликование правовых актов
ОФИЦИАЛЬНОЕ ОПУБЛИКОВАНИЕ
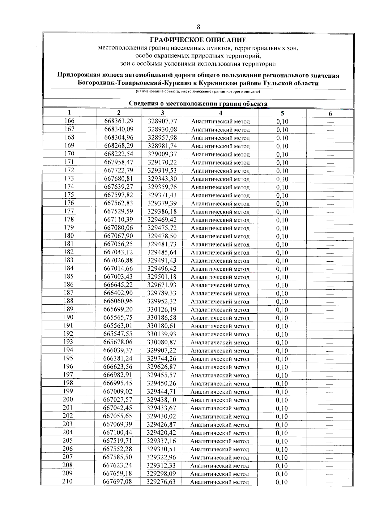
Приказ Министерства транспорта и дорожного хозяйства Тульской области от 11.11.2025 № 279
"Об установлении придорожных полос автомобильной дороги общего пользования регионального значения Богородицк - Товарковский - Куркино, расположенной в границах Куркинского района Тульской области"
(Зарегистрирован 11.11.2025 № 279)
Номер опубликования: 7101202511140013
Дата опубликования: 14.11.2025
Страница №10 из 71:
Увеличить