Официальное опубликование правовых актов
ОФИЦИАЛЬНОЕ ОПУБЛИКОВАНИЕ
Приказ Министерства транспорта и дорожного хозяйства Тульской области от 10.11.2025 № 278
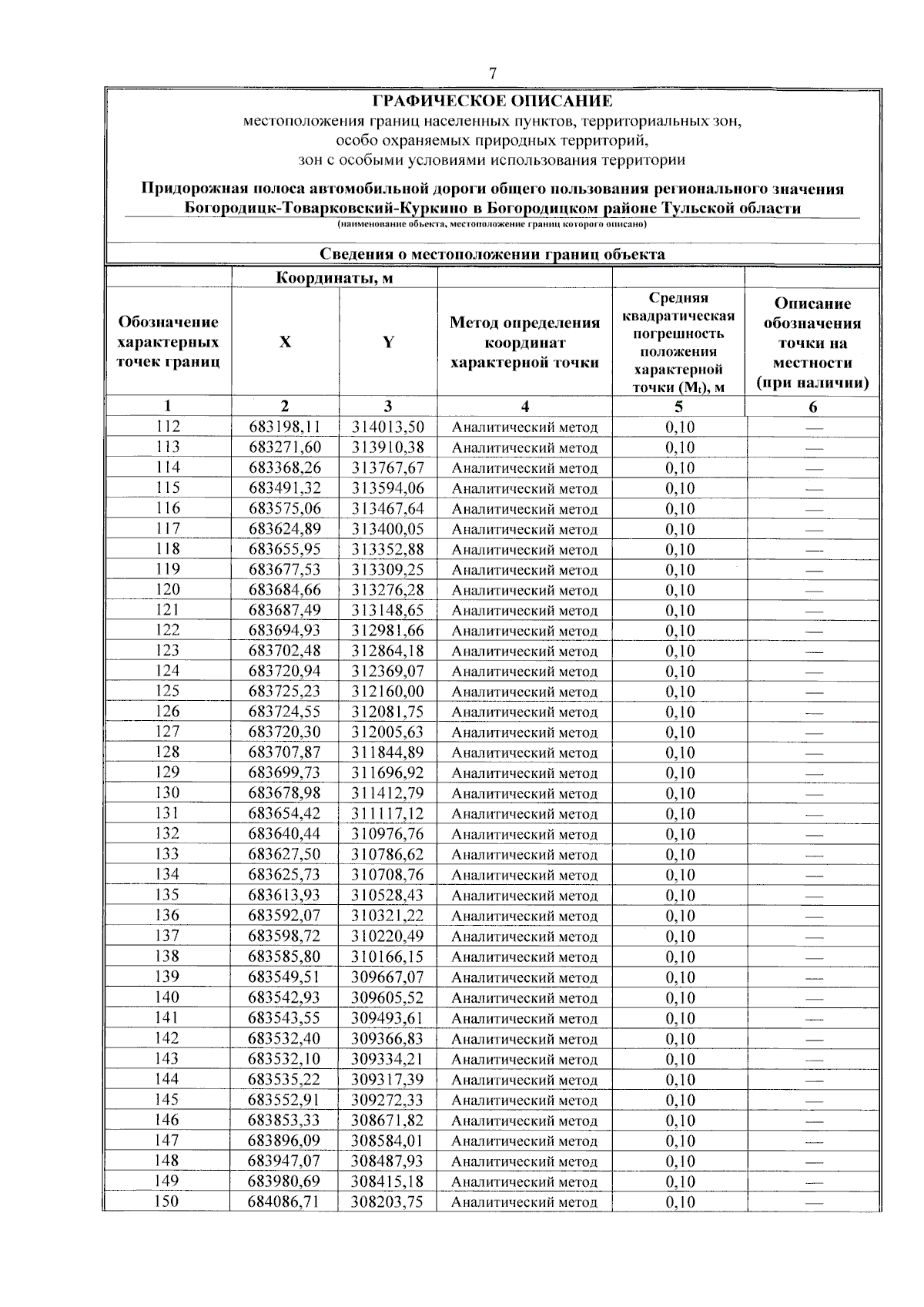
"Об установлении придорожных полос автомобильной дороги общего пользования регионального значения Богородицк - Товарковский - Куркино, расположенной в границах Богородицкого района Тульской области"
(Зарегистрирован 10.11.2025 № 278)
Номер опубликования: 7101202511140015
Дата опубликования: 14.11.2025
Страница №9 из 51:
Увеличить