Официальное опубликование правовых актов
ОФИЦИАЛЬНОЕ ОПУБЛИКОВАНИЕ
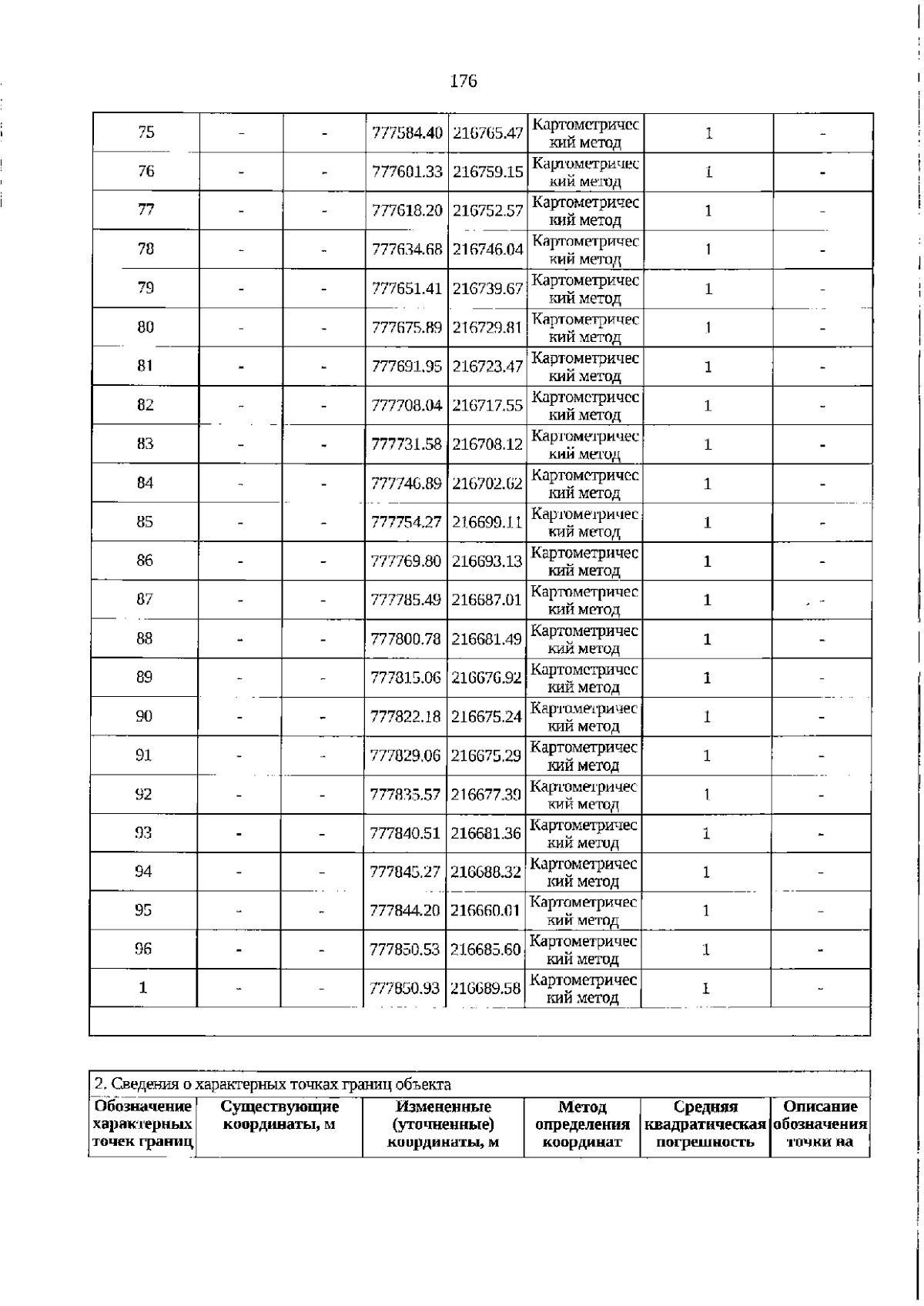
Приказ Комитета Тульской области по архитектуре и градостроительству от 20.11.2025 № 146
"О внесении изменений в генеральный план муниципального образования город Алексин Тульской области, утверждённый Решением Собрания депутатов муниципального образования город Алексин от 19.08.2015 №8(16).3"
(Зарегистрирован 20.11.2025 № 146)
Номер опубликования: 7101202511240005
Дата опубликования: 24.11.2025
Страница №220 из 273:
Увеличить