Официальное опубликование правовых актов
ОФИЦИАЛЬНОЕ ОПУБЛИКОВАНИЕ
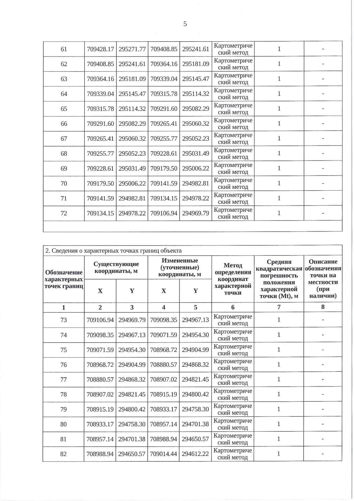
Приказ Комитета Тульской области по архитектуре и градостроительству от 26.11.2025 № 149
"О внесении изменений в правила землепользования и застройки муниципального образования Шахтерское Узловского района, утвержденные постановлением администрации муниципального образования Узловский район от 15.08.2024 №1201"
(Зарегистрирован 26.11.2025 № 149)
Номер опубликования: 7101202511280004
Дата опубликования: 28.11.2025
Страница №56 из 66:
Увеличить