Официальное опубликование правовых актов
ОФИЦИАЛЬНОЕ ОПУБЛИКОВАНИЕ
Приказ Комитета Тульской области по архитектуре и градостроительству от 28.11.2025 № 152
"О внесении изменений в правила землепользования и застройки муниципального образования Архангельское Каменского района, утверждённые постановлением администрации муниципального образования Каменский район от 30.03.2023 № 100"
(Зарегистрирован 28.11.2025 № 152)
Номер опубликования: 7101202512020007
Дата опубликования: 02.12.2025
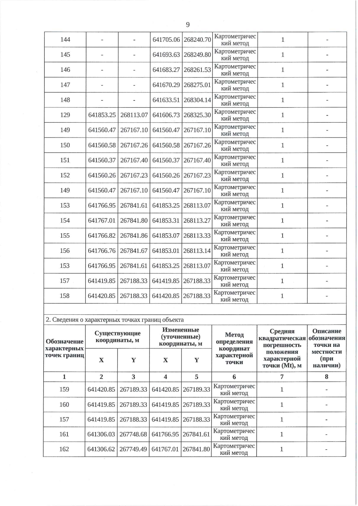
Страница №15 из 28:
Увеличить