Официальное опубликование правовых актов
ОФИЦИАЛЬНОЕ ОПУБЛИКОВАНИЕ
Приказ Комитета Тульской области по архитектуре и градостроительству от 17.12.2025 № 160
"О внесении изменений и дополнений в правила землепользования и застройки муниципального образования город Алексин Тульской области, утверждённые постановлением администрации муниципального образования город Алексин от 01.08.2024 № 1580"
(Зарегистрирован 17.12.2025 № 160)
Номер опубликования: 7101202512190004
Дата опубликования: 19.12.2025
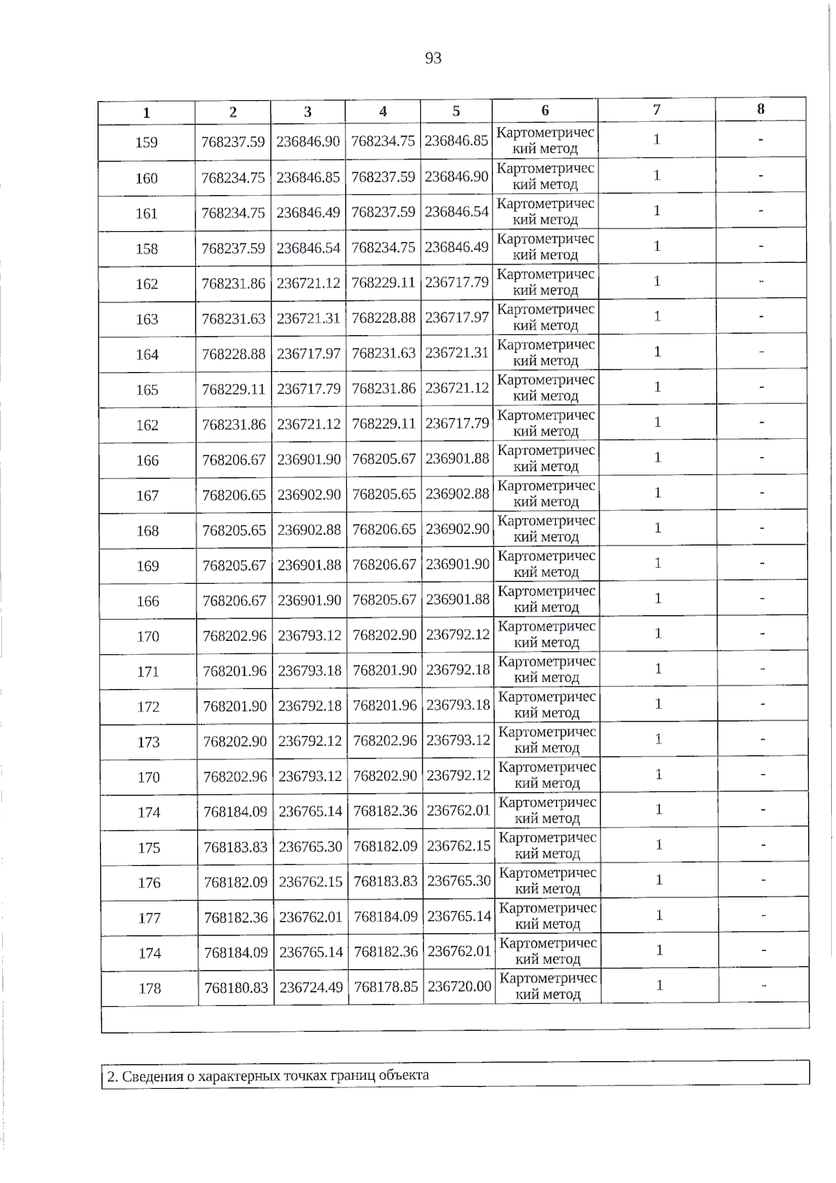
Страница №103 из 110:
Увеличить