Официальное опубликование правовых актов
ОФИЦИАЛЬНОЕ ОПУБЛИКОВАНИЕ
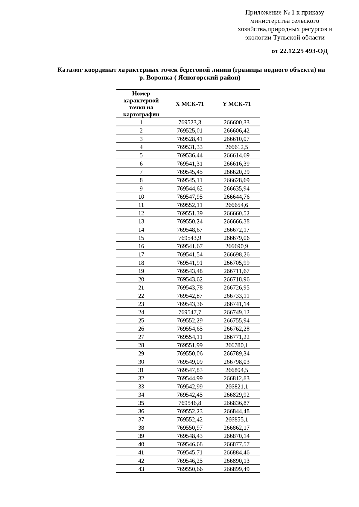
Приказ Министерства сельского хозяйства, природных ресурсов и экологии Тульской области от 22.12.2025 № 493-ОД
"Об утверждении каталогов координат береговых линий (границ водных объектов), границ водоохранных зон и границ прибрежных защитных полос р. Воронка (Ясногорский район) на территории Тульской области"
(Зарегистрирован 22.12.2025 № 493-ОД)
Номер опубликования: 7101202512290001
Дата опубликования: 29.12.2025
Страница №2 из 262:
Увеличить