Официальное опубликование правовых актов
ОФИЦИАЛЬНОЕ ОПУБЛИКОВАНИЕ
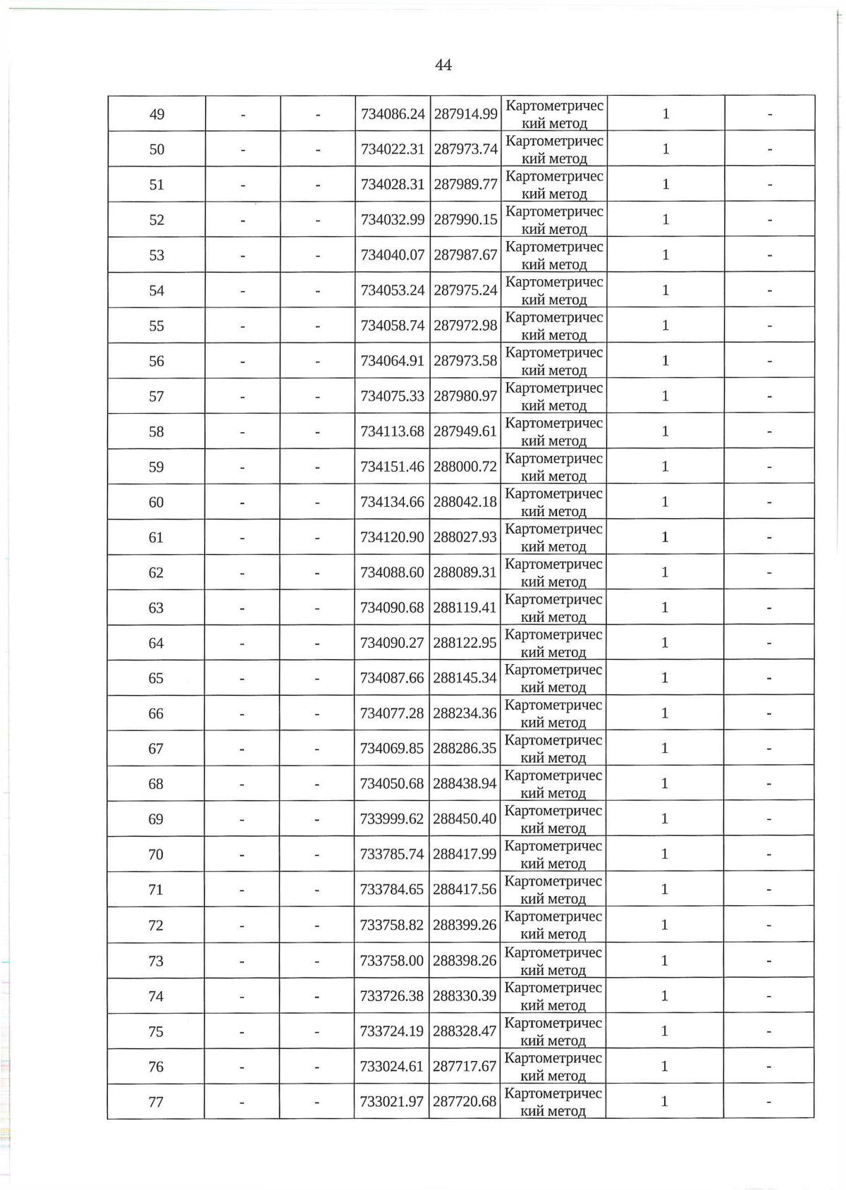
Приказ Комитета Тульской области по архитектуре и градостроительству от 26.12.2025 № 168
"О внесении изменений в генеральный план муниципального образования Шварцевское Киреевского района, утверждённый решением Собрания представителей муниципального образования Киреевский район от 19 июля 2019 года № 17-86"
(Зарегистрирован 26.12.2025 № 168)
Номер опубликования: 7101202512300025
Дата опубликования: 30.12.2025
Страница №73 из 77:
Увеличить