Официальное опубликование правовых актов
ОФИЦИАЛЬНОЕ ОПУБЛИКОВАНИЕ
Приказ Комитета Тульской области по архитектуре и градостроительству от 20.01.2026 № 7
"О внесении изменений и дополнений в правила землепользования и застройки муниципального образования Манаенское Арсеньевского района, утверждённые решением Собрания представителей муниципального образования Арсеньевский район 6-созыва от 25.12.2020 №28/130"
(Зарегистрирован 20.01.2026 № 7)
Номер опубликования: 7101202601210001
Дата опубликования: 21.01.2026
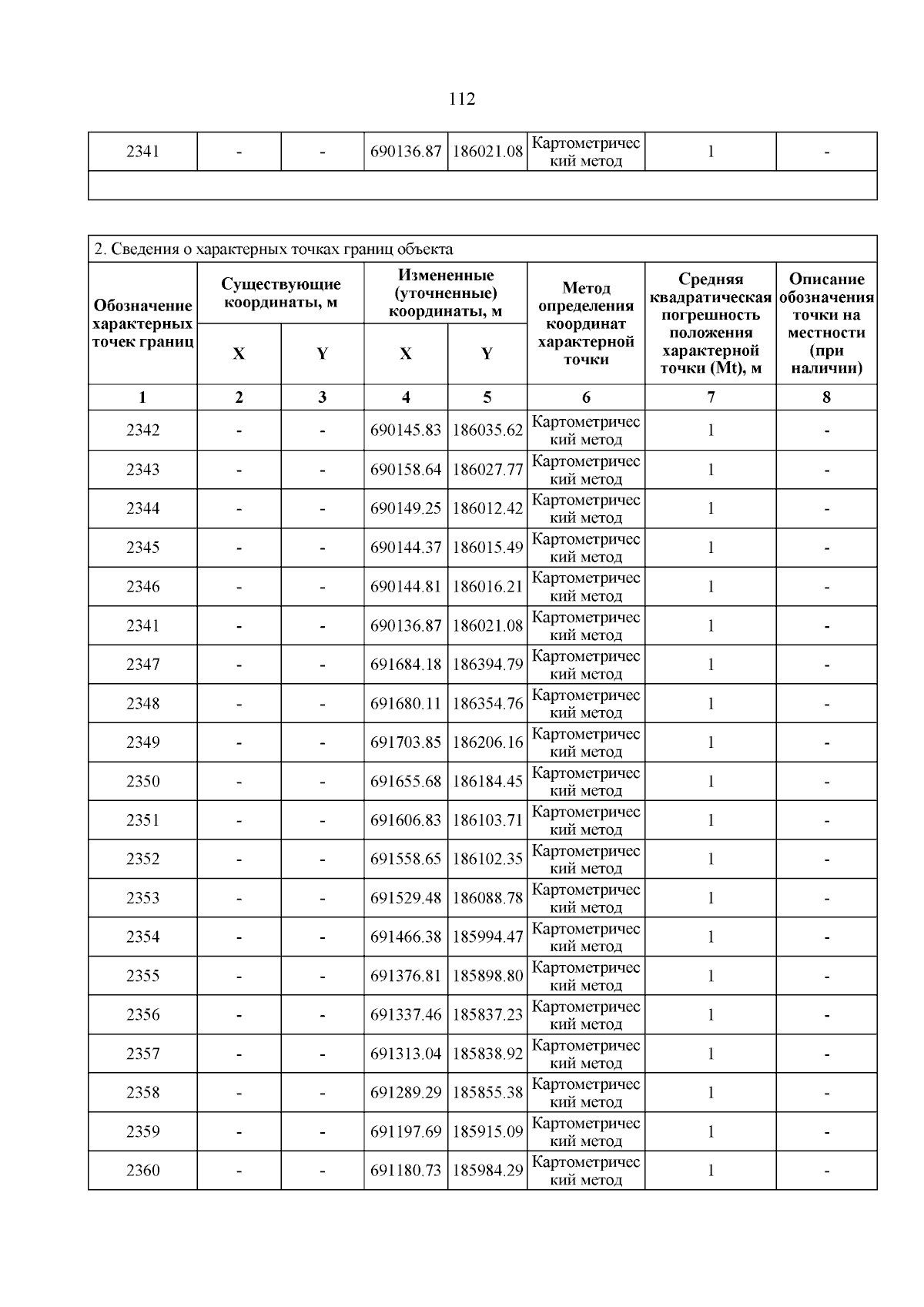
Страница №158 из 541:
Увеличить