Официальное опубликование правовых актов
ОФИЦИАЛЬНОЕ ОПУБЛИКОВАНИЕ
Приказ Комитета Тульской области по архитектуре и градостроительству от 22.01.2026 № 16
"О внесении изменений и дополнений в генеральный план муниципального образования Иевлевское Богородицкого района Тульской области, утверждённый решением Собрания представителей муниципального образования Богородицкий район от 21.06.2023 №59-414"
(Зарегистрирован 22.01.2026 № 16)
Номер опубликования: 7101202601260002
Дата опубликования: 26.01.2026
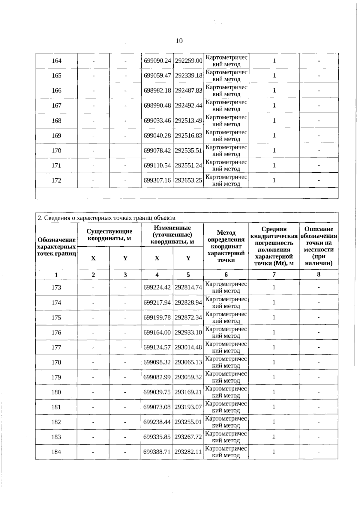
Страница №38 из 39:
Увеличить