Официальное опубликование правовых актов
ОФИЦИАЛЬНОЕ ОПУБЛИКОВАНИЕ
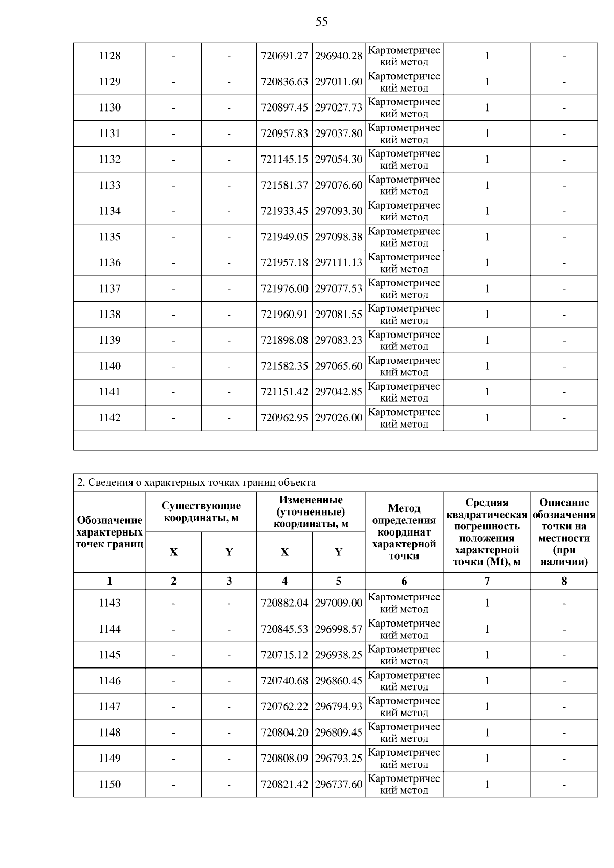
Приказ Комитета Тульской области по архитектуре и градостроительству от 05.03.2026 № 36
"О внесении изменений в генеральный план муниципального образования город Узловая, утверждённый решением Собрания депутатов муниципального образования город Узловая Тульской области от 28.09.2021 года № 40-193"
(Зарегистрирован 05.03.2026 № 36)
Номер опубликования: 7101202603060003
Дата опубликования: 06.03.2026
Страница №93 из 104:
Увеличить