Официальное опубликование правовых актов
ОФИЦИАЛЬНОЕ ОПУБЛИКОВАНИЕ
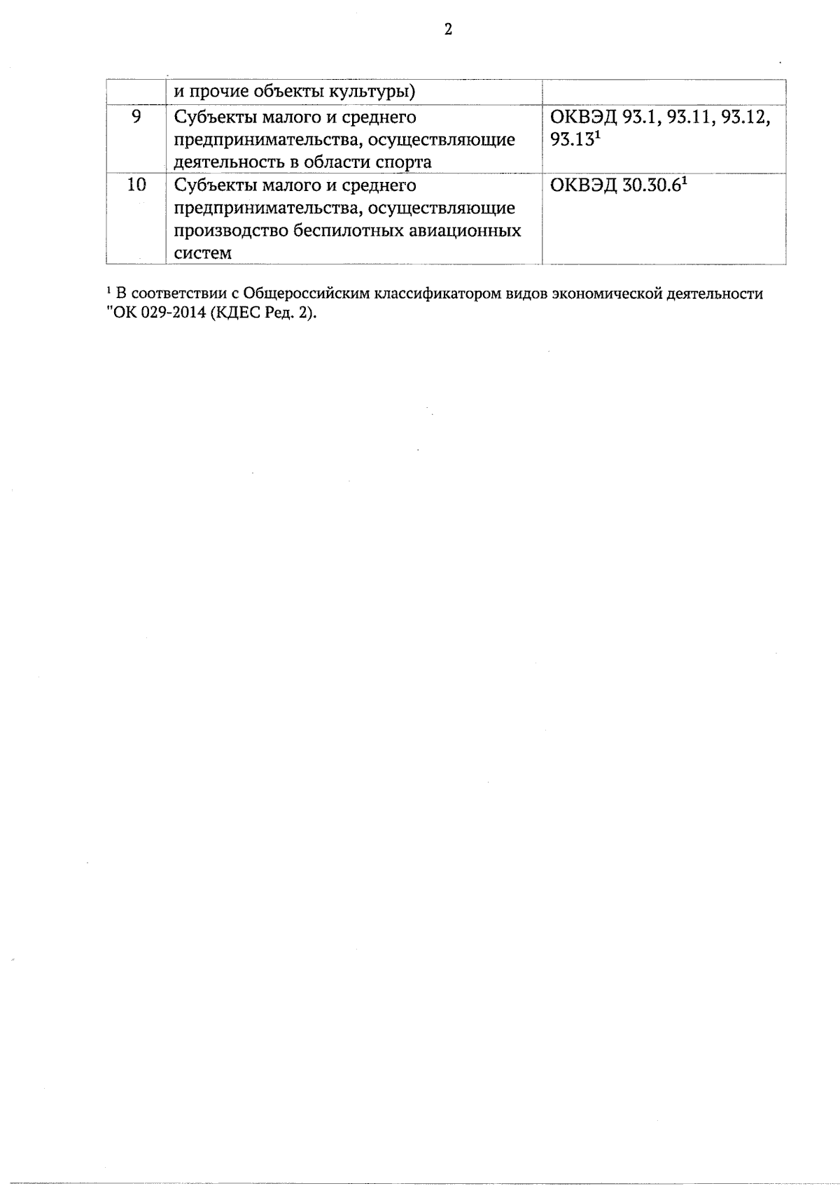
Приказ Министерства развития предпринимательства и торговли Тульской области от 15.04.2026 № 24-03/31
"Об утверждении перечня социально значимых видов деятельности для целей применения постановления Правительства Тульской области от 10.03.2026 № 121"
(Зарегистрирован 15.04.2026 № 24-03/31)
Номер опубликования: 7101202604160001
Дата опубликования: 16.04.2026
Страница №3 из 3:
Увеличить