Официальное опубликование правовых актов
ОФИЦИАЛЬНОЕ ОПУБЛИКОВАНИЕ
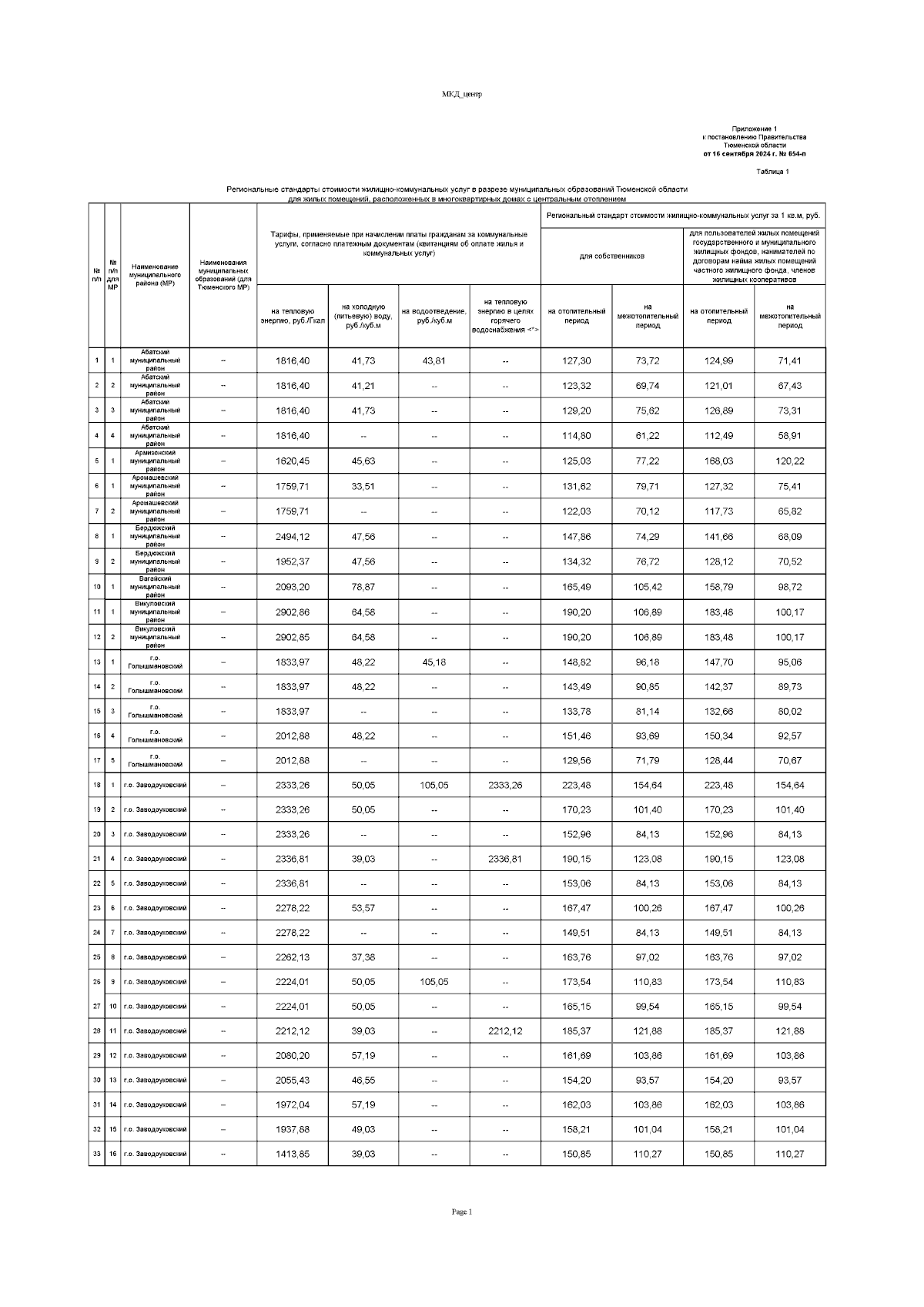
Постановление Правительства Тюменской области от 16.09.2024 № 654-п
"О внесении изменений в постановление от 27.06.2024 № 404-п"
Номер опубликования: 7200202409180015
Дата опубликования: 18.09.2024
Страница №2 из 36:
Увеличить