Официальное опубликование правовых актов
ОФИЦИАЛЬНОЕ ОПУБЛИКОВАНИЕ
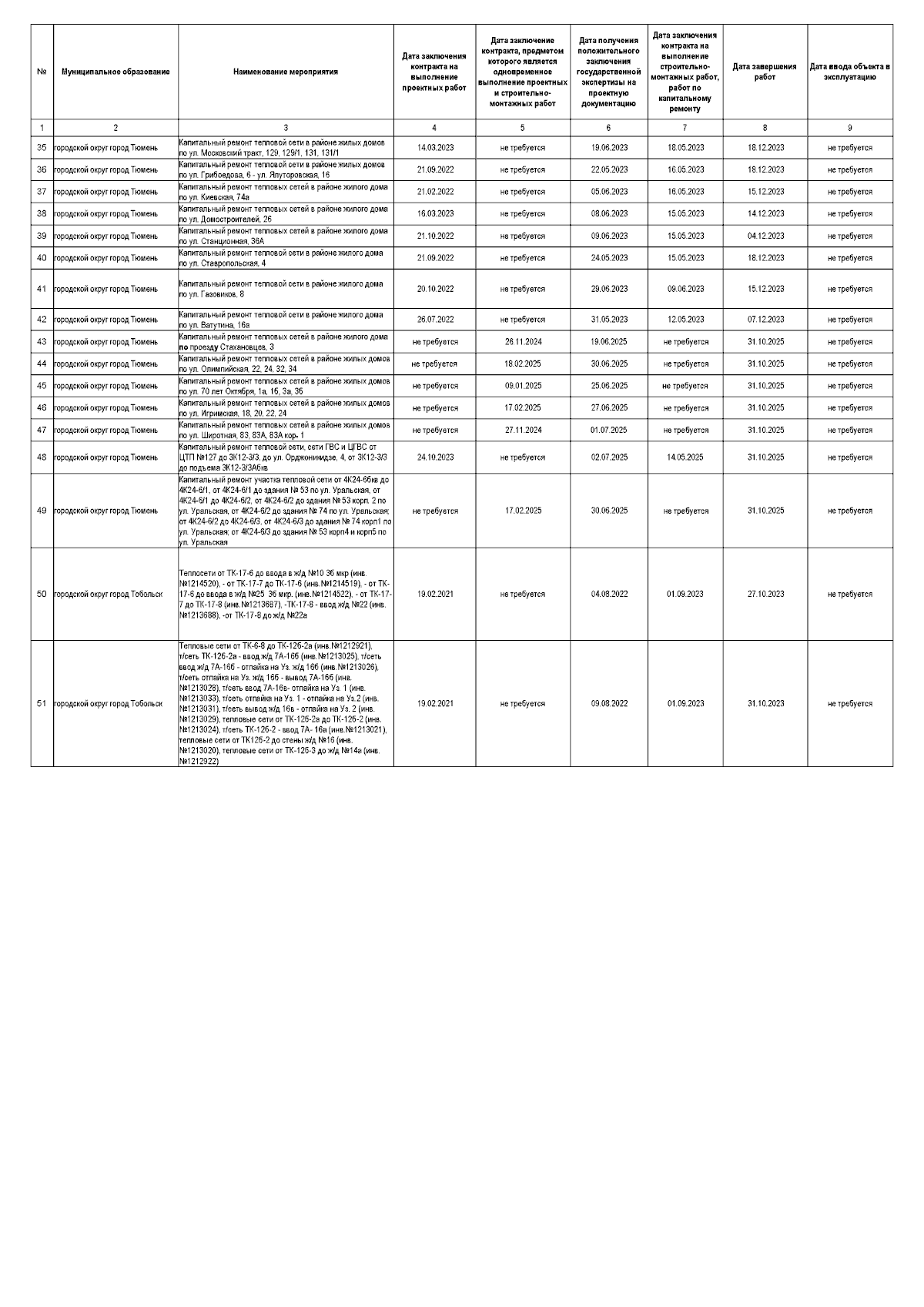
Постановление Правительства Тюменской области от 12.09.2025 № 586-п
"О внесении изменения в постановление от 03.02.2023 № 45-п"
Номер опубликования: 7200202509160001
Дата опубликования: 16.09.2025
Страница №44 из 44:
Увеличить