Официальное опубликование правовых актов
ОФИЦИАЛЬНОЕ ОПУБЛИКОВАНИЕ
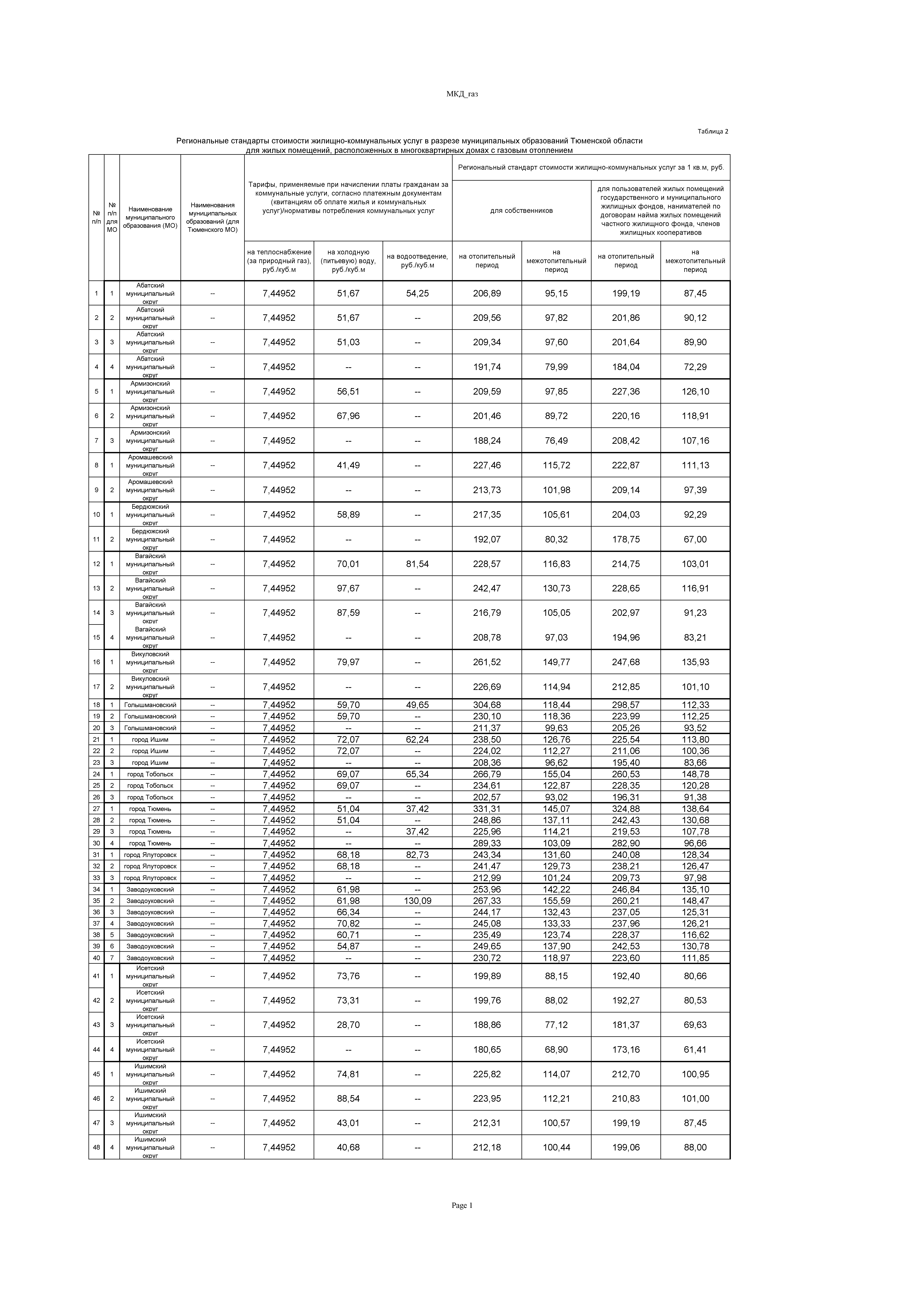
Постановление Правительства Тюменской области от 06.10.2025 № 632-п
"О внесении изменений в постановление от 28.03.2025 № 187-п"
Номер опубликования: 7200202510070004
Дата опубликования: 07.10.2025
Страница №45 из 67: