Официальное опубликование правовых актов
ОФИЦИАЛЬНОЕ ОПУБЛИКОВАНИЕ
Постановление Правительства Тюменской области от 19.12.2025 № 815-п
"О внесении изменения в постановление от 15.12.2023 № 846-п"
Номер опубликования: 7200202512230037
Дата опубликования: 23.12.2025
Страница №16 из 24:
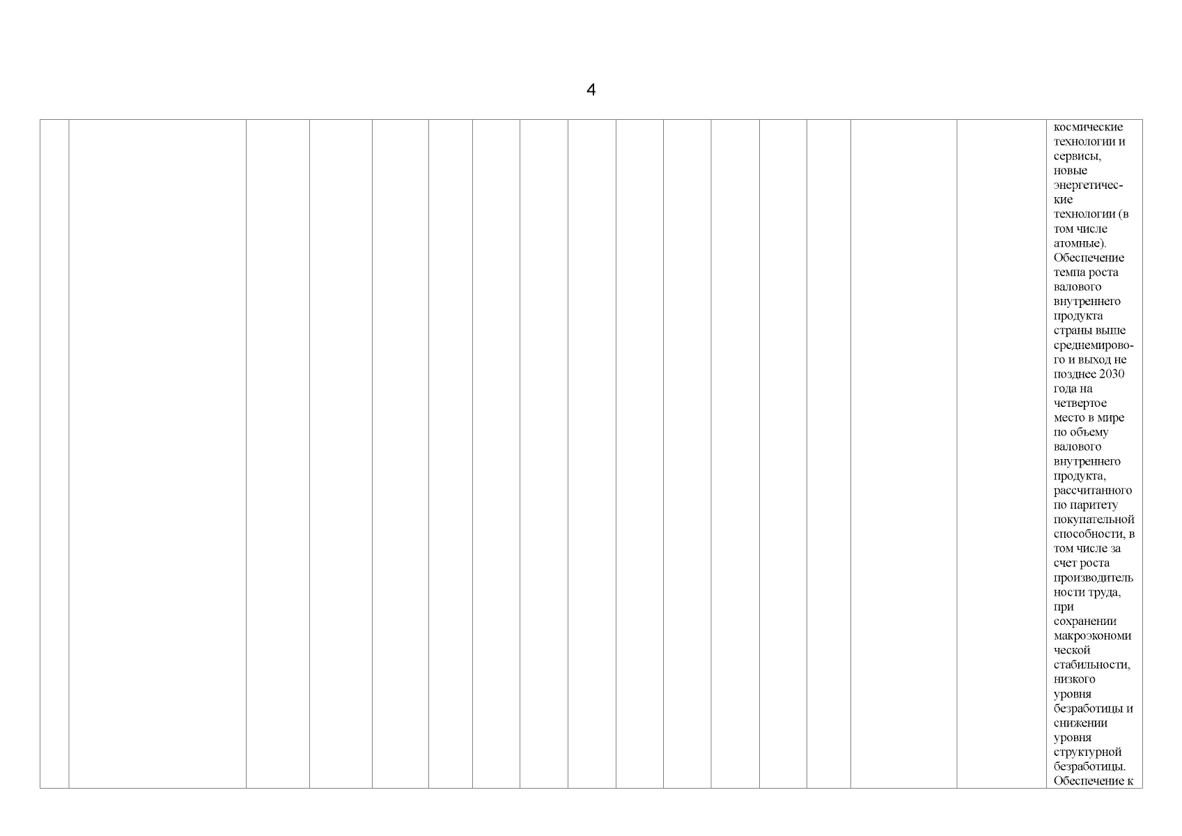
Увеличить