Официальное опубликование правовых актов
ОФИЦИАЛЬНОЕ ОПУБЛИКОВАНИЕ
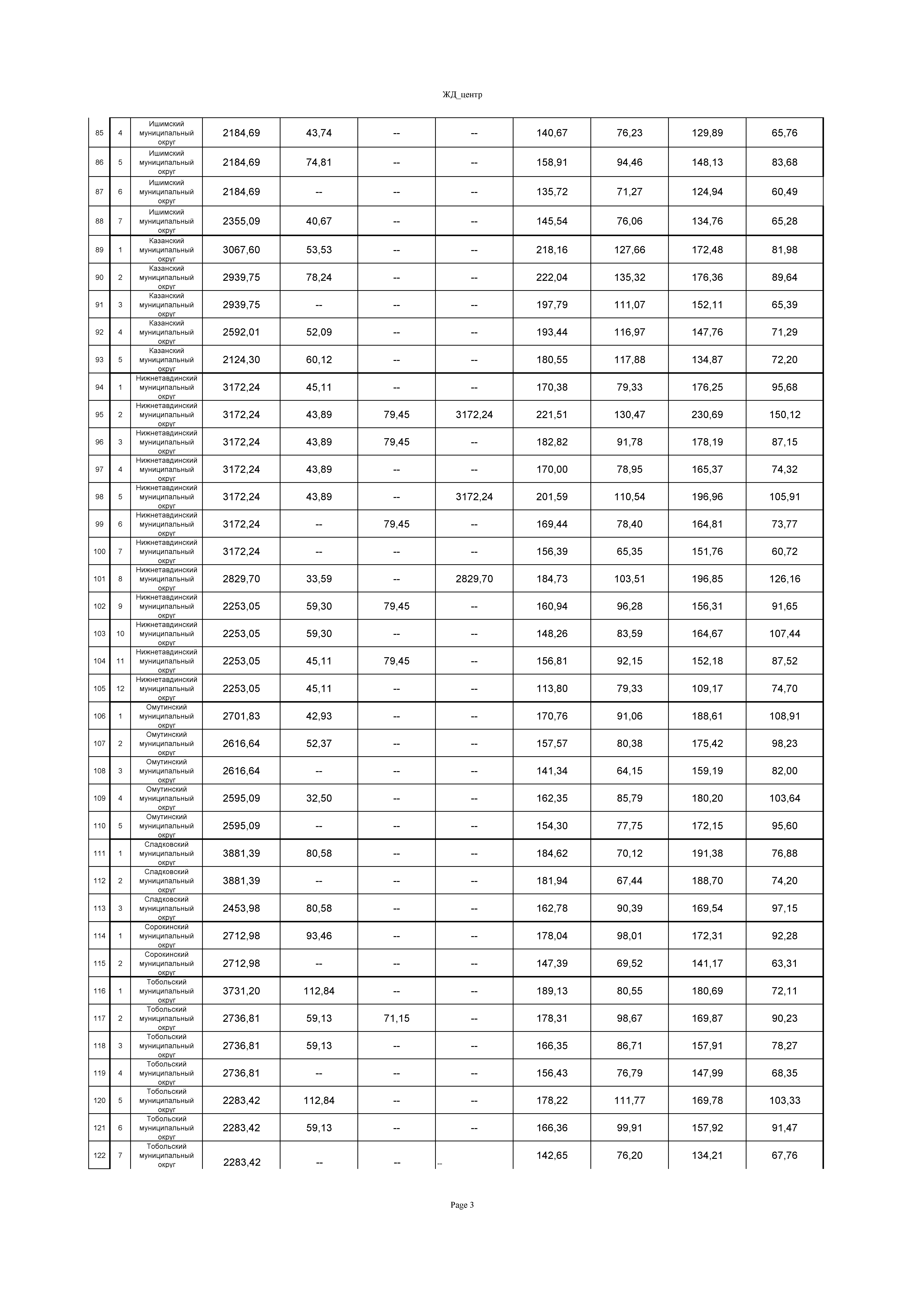
Постановление Правительства Тюменской области от 20.03.2026 № 151-п
"О региональных стандартах оплаты жилого помещения и коммунальных услуг на 2026 год"
Номер опубликования: 7200202603240004
Дата опубликования: 24.03.2026
Страница №32 из 49: