Официальное опубликование правовых актов
ОФИЦИАЛЬНОЕ ОПУБЛИКОВАНИЕ
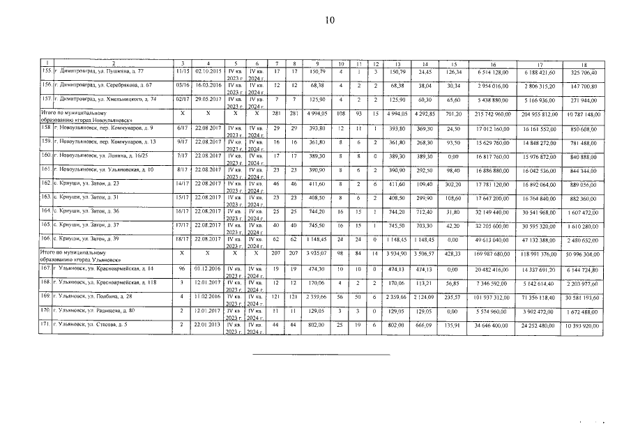
Постановление Правительства Ульяновской области от 21.11.2017 № 573-П "Об утверждении областной адресной программы "Переселение граждан, проживающих на территории Ульяновской области, из многоквартирных домов, признанных аварийными после 01 января 2012 года, в 2018-2023 годах"
Номер опубликования: 7300201711240001
Дата опубликования: 24.11.2017
Страница №19 из 19:
Увеличить