Официальное опубликование правовых актов
ОФИЦИАЛЬНОЕ ОПУБЛИКОВАНИЕ
Постановление Правительства Ульяновской области от 09.10.2019 № 23/506-П
"О внесении изменений в государственную программу Ульяновской области "Развитие физической культуры и спорта в Ульяновской области на 2014-2021 годы"
Номер опубликования: 7300201910180011
Дата опубликования: 18.10.2019
Страница №4 из 6:
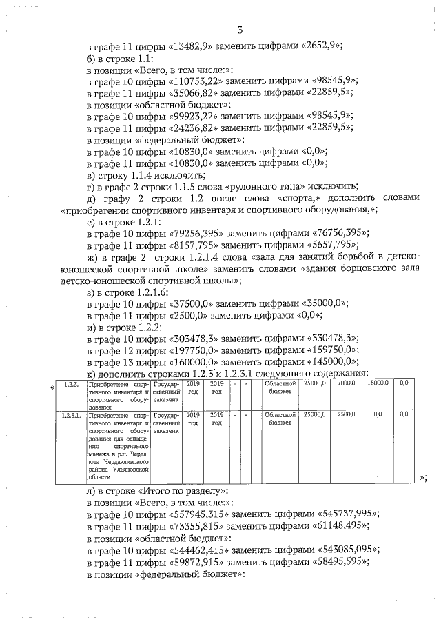
Увеличить