Официальное опубликование правовых актов
ОФИЦИАЛЬНОЕ ОПУБЛИКОВАНИЕ
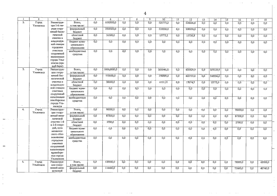
Постановление Правительства Ульяновской области от 14.11.2019 № 26/582-П
"Об утверждении государственной программы Ульяновской области "Развитие жилищно-коммунального хозяйства и повышение энергетической эффективности в Ульяновской области"
Номер опубликования: 7300201911200003
Дата опубликования: 20.11.2019
Страница №95 из 115:
Увеличить