Официальное опубликование правовых актов
ОФИЦИАЛЬНОЕ ОПУБЛИКОВАНИЕ
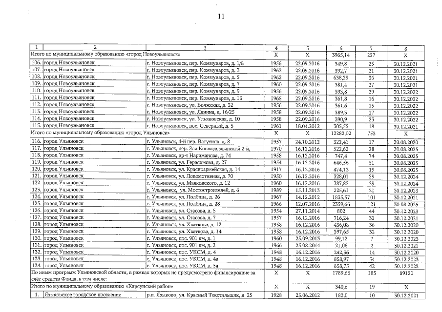
Постановление Правительства Ульяновской области от 02.12.2019 № 654-П
"О внесении изменений в постановление Правительства Ульяновской области от 28.03.2019 № 131-П"
Номер опубликования: 7300201912060001
Дата опубликования: 06.12.2019
Страница №11 из 29:
Увеличить