Официальное опубликование правовых актов
ОФИЦИАЛЬНОЕ ОПУБЛИКОВАНИЕ
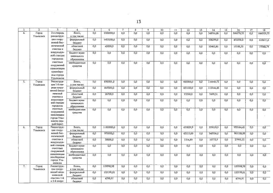
Постановление Правительства Ульяновской области от 12.12.2019 № 29/687-П
"О внесении изменений в государственную программу Ульяновской области "Развитие жилищно-коммунального хозяйства и повышение энергетической эффективности в Ульяновской области"
Номер опубликования: 7300201912190014
Дата опубликования: 19.12.2019
Страница №14 из 30:
Увеличить