Официальное опубликование правовых актов
ОФИЦИАЛЬНОЕ ОПУБЛИКОВАНИЕ
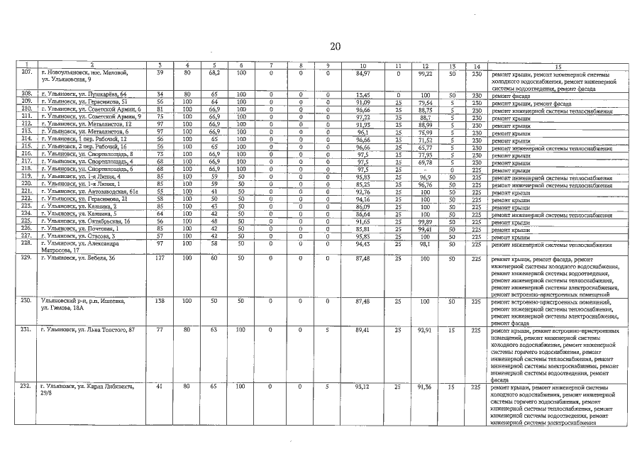
Постановление Правительства Ульяновской области от 27.12.2019 № 793-П
"О внесении изменения в региональную программу капитального ремонта общего имущества в многоквартирных домах, расположенных на территории Ульяновской области, на 2014-2044 годы"
Номер опубликования: 7300201912310005
Дата опубликования: 31.12.2019
Страница №20 из 736:
Увеличить