Официальное опубликование правовых актов
ОФИЦИАЛЬНОЕ ОПУБЛИКОВАНИЕ
Постановление Правительства Ульяновской области от 20.12.2023 № 689-П
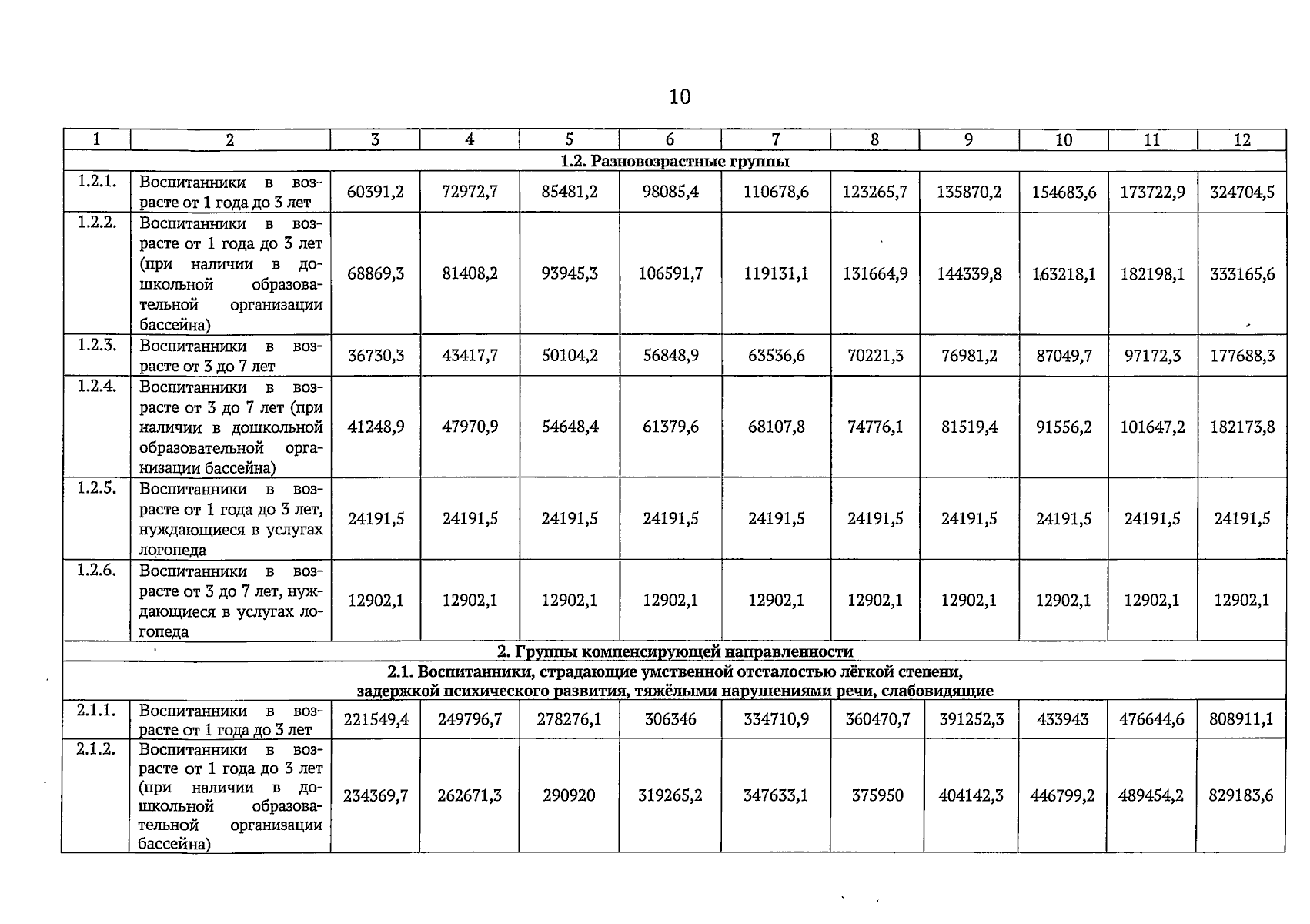
"Об утверждении нормативов расходов на обеспечение в Ульяновской области государственных гарантий реализации прав на получение общедоступного и бесплатного дошкольного образования в муниципальных дошкольных образовательных организациях, общедоступного и бесплатного дошкольного, начального общего, основного общего, среднего общего образования в муниципальных общеобразовательных организациях, обеспечение дополнительного образования детей в муниципальных общеобразовательных организациях в расчёте на одного учащегося (воспитанника) таких образовательных организаций"
Номер опубликования: 7300202312210009
Дата опубликования: 21.12.2023
Страница №48 из 119:
Увеличить