Официальное опубликование правовых актов
ОФИЦИАЛЬНОЕ ОПУБЛИКОВАНИЕ
Постановление Правительства Ульяновской области от 27.12.2023 № 739-П
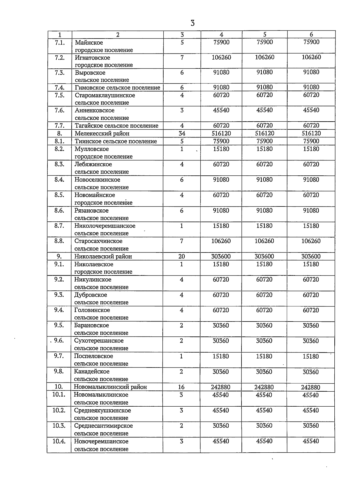
"Об утверждении распределения иных межбюджетных трансфертов из областного бюджета Ульяновской области, предоставляемых в 2024 году и плановом периоде 2025 и 2026 годов бюджетам поселений и городских округов Ульяновской области в целях финансового обеспечения расходных обязательств, связанных с осуществлением ежемесячных денежных выплат лицам, осуществляющим полномочия сельских старост"
Номер опубликования: 7300202312280007
Дата опубликования: 28.12.2023
Страница №4 из 7:
Увеличить